Bài 11 trang 222 SGK Đại số 10 Nâng cao

Lý thuyết Bài tập

Tóm tắt bài

a) 

\(\left\{ \matrix{
(m + 3)x + 2y = m \hfill \cr
(3m + 1)x + (m + 1)y = 1 \hfill \cr} \right.\)

b) 

\(\left\{ \matrix{
(2m + 3)x + 5y = m - 11 \hfill \cr
(m + 2)x + 2y = m - 2 \hfill \cr} \right.\)

Đáp án

a) Ta có:

+ Nếu m ≠ 1 thì hệ có nghiệm (x, y) với:

\(\eqalign{
& x = {{{D_x}} \over D} = {{(m - 1)(m + 2)} \over {{{(m - 1)}^2}}} = {{m + 2} \over {m - 1}} \cr
& y = {{{D_y}} \over D} = {{ - 3({m^2} - 1)} \over {{{(m - 1)}^2}}} = {{ - 3(m + 1)} \over {m - 1}} \cr} \) 

+ Nếu m = 1 thì hệ thành

\(\left\{ \matrix{
4x + 2y = 1 \hfill \cr
4x + 2y = 1 \hfill \cr} \right. \Leftrightarrow y = - 2x + {1 \over 2}\)

Hệ có vô số nghiệm \((x,\, - 2x + {1 \over 2})\) với x ∈ R

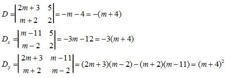
b) Ta có:

+Với \(m ≠ -4\) thì hệ có nghiệm (x, y) với:

\(\eqalign{
& x = {{{D_x}} \over D} = {{ - 3(m + 4)} \over { - (m + 4)}} = 3 \cr
& y = {{{D_y}} \over D} = {{{{(m + 4)}^2}} \over { - (m + 4)}} = - m - 4 \cr} \)

+ Với \(m = -4\), hệ có vô số nghiệm với \((x; x – 3), x ∈ \mathbb R\)

Bạn có biết?

Toán học là ngành nghiên cứu trừu tượng về những chủ đề như: lượng (các con số), cấu trúc, không gian, và sự thay đổi.Các nhà toán học và triết học có nhiều quan điểm khác nhau về định nghĩa và phạm vi của toán học

Nguồn : Wikipedia - Bách khoa toàn thư

Tâm sự Lớp 10

Lớp 10 - Năm thứ nhất ở cấp trung học phổ thông, năm đầu tiên nên có nhiều bạn bè mới đến từ những nơi xa hơn vì ngôi trường mới lại mỗi lúc lại xa nhà mình hơn. Được biết bên ngoài kia là một thế giới mới to và nhiều điều thú vị, một trang mới đang chò đợi chúng ta.

Nguồn : ADMIN :))

Liên hệ hợp tác hoặc quảng cáo: gmail

Điều khoản dịch vụ

Copyright © 2021 HOCTAPSGK