Trang chủ Toán Học Lớp 8 (Vẽ hình +Giải chi tiết) Bài 14 : Cho hình...

(Vẽ hình +Giải chi tiết) Bài 14 : Cho hình bình hành ABCD . Vẽ CE vuông góc AB và CF vuông góc với AD , BH vuông góc với AC a) Chứng minh tam giác ABH đồng dạn

Câu hỏi :

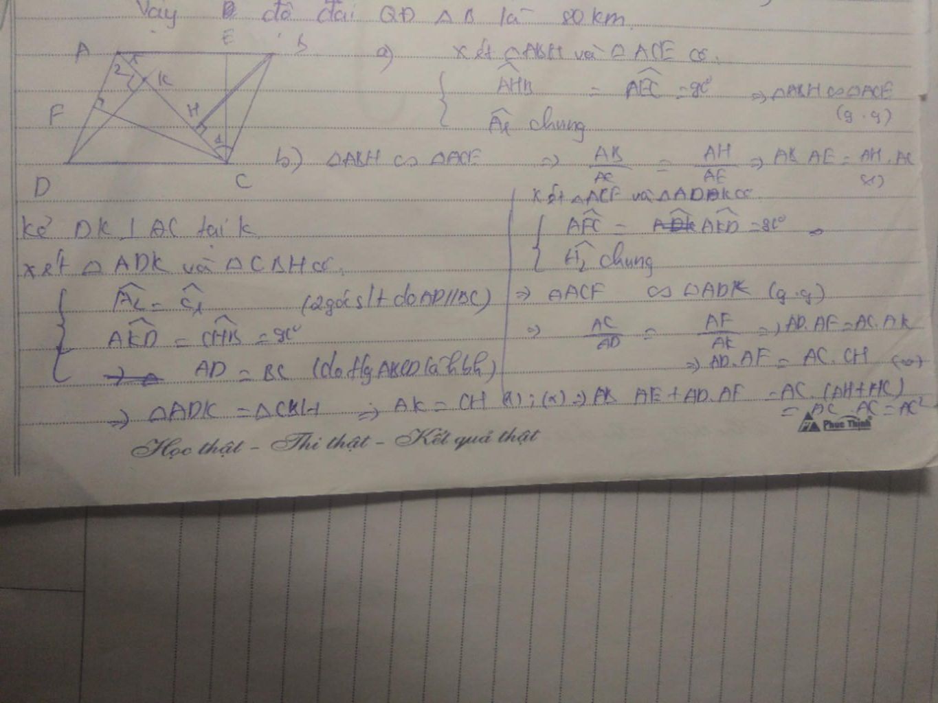
(Vẽ hình +Giải chi tiết) Bài 14 : Cho hình bình hành ABCD . Vẽ CE vuông góc AB và CF vuông góc với AD , BH vuông góc với AC a) Chứng minh tam giác ABH đồng dạng với tam giác ACE b) Chứng minh : `AB.AE+AD.AF=AC^2` ( Đừng làm tắt nhé ^^)

Lời giải 1 :

Bạn xem hình

image

Thảo luận

-- Chỗ nào em
-- AD . AF = AC.HC tự nhiên lại vậy AB.AE + AD.AF luôn là sao vậy anh
-- Anh làm đầy đủ ra giùm em vs TT
-- AD.AF=AC.HC sử dụng để chứng minh "Vậy..."
-- em chưa hiểu lắm ạ
-- anh giải đầy đủ hẳn ra từ cái phần AD.AF = AC.HC ra đc ko chứ em thấy hơi tắt
-- Chỗ dấu bằng sau dòng "Vậy" ấy, nó đi liền với "Vậy" luôn. Tức là: Vậy AB.AE+AD.AF=AH.AC+AC.HC=AC(AH+HC)=$AC^2$ Anh xuống dòng vì hết chỗ viết thôi
-- ok , cảm mơn anh :)

Lời giải 2 :

.

image

Bạn có biết?

Toán học là môn khoa học nghiên cứu về các số, cấu trúc, không gian và các phép biến đổi. Nói một cách khác, người ta cho rằng đó là môn học về "hình và số". Theo quan điểm chính thống neonics, nó là môn học nghiên cứu về các cấu trúc trừu tượng định nghĩa từ các tiên đề, bằng cách sử dụng luận lý học (lôgic) và ký hiệu toán học. Các quan điểm khác của nó được miêu tả trong triết học toán. Do khả năng ứng dụng rộng rãi trong nhiều khoa học, toán học được mệnh danh là "ngôn ngữ của vũ trụ".

Nguồn : Wikipedia - Bách khoa toàn thư

Tâm sự 8

Lớp 8 - Năm thứ ba ở cấp trung học cơ sở, học tập bắt đầu nặng dần, sang năm lại là năm cuối cấp áp lực lớn dần nhưng các em vẫn phải chú ý sức khỏe nhé!

Nguồn : ADMIN :))

Liên hệ hợp tác hoặc quảng cáo: gmail

Điều khoản dịch vụ

Copyright © 2021 HOCTAPSGK