Trang chủ Toán Học Lớp 8 a. (3x+y-2)-(4x-2y +62) b. (2³ +6x² +5y³)-(2x³-5x + 7y³) C....

a. (3x+y-2)-(4x-2y +62) b. (2³ +6x² +5y³)-(2x³-5x + 7y³) C. (1,6r³ - 3, Sr³y) + (-2,2ry-1,6x3 +0,5xy²) d. (2,4x² +1,7y²+2xy)-(0,4x² -1,3y² + ry) c. (2² + y

Câu hỏi :

Cứu tớ vs các cậu ơi

image

a. (3x+y-2)-(4x-2y +62) b. (2³ +6x² +5y³)-(2x³-5x + 7y³) C. (1,6r³ - 3, Sr³y) + (-2,2ry-1,6x3 +0,5xy²) d. (2,4x² +1,7y²+2xy)-(0,4x² -1,3y² + ry) c. (2² + y

Lời giải 1 :

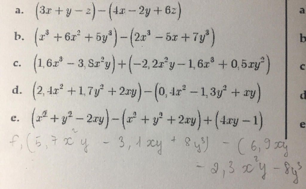
`a) (3x + y - z) - (4x - 2y + 6z)`

` = 3x + y - z - 4x + 2y - 6z`

` = (3x - 4x) + (2y + y) - (z + 6z)`

` = -x + 3y - 7z`

`b) (x^3 + 6x^2 + 5y^3) - (2x^3 - 5x + 7y^3)`

` = x^3 + 6x^2 + 5y^3 - 2x^3 + 5x - 7y^3`

` = (x^3 - 2x^3) + 6x^2 + 5x + (5y^3 - 7y^3)`

` = -x^3 + 6x^2 + 5x - 2y^3`

`c) (1,6 x^3 - 3,8 x^2y) + (-2,2 x^2y - 1,6 x^3 + 0,5 xy^2)`

` = 1,6 x^3 - 3,8 x^2y - 2,2 x^2y - 1,6 x^3 + 0,5 xy^2`

` = (1,6 x^3 - 1,6 x^3) - (3,8 x^2y + 2,2 x^2y) + 0,5 xy^2`

` = -6x^2y + 0,5 xy^2`

`d) (2,4 x^2 + 1,7 y^2 + 2xy) - (0,4 x^2 - 1,3 y^2 + xy)`

` = 2,4 x^2 + 1,7 y^2 + 2xy - 0,4 x^2 + 1,3 y^2 - xy`

` = (2,4 x^2 - 0,4 x^2) + (1,7 y^2 + 1,3 y^2) + (2xy - xy)`

` = 2x^2 + 3y^2 + xy`

`e) (x^2 + y^2 - 2xy) - (x^2 + y^2 + 2xy) + (4xy - 1)`

` = x^2 + y^2 - 2xy - x^2 - y^2 - 2xy + 4xy - 1`

` = (x^2 - x^2) + (y^2 - y^2) + (4xy-2xy-2xy) - 1`

` = -1`

`f) (5,7 x^2y - 3,1 xy + 8y^3) - (6,9 xy - 2,3 x^2y - 8y^3)`

` = 5,7 x^2y - 3,1 xy + 8y^3 - 6,9 xy + 2,3 x^2y + 8y^3`

` = (5,7 x^2y + 2,3 x^2y) - (3,1 xy + 6,9 xy) + (8y^3 + 8y^3)`

` = 8x^2y - 10xy + 16y^3`

 

Bạn có biết?

Toán học là môn khoa học nghiên cứu về các số, cấu trúc, không gian và các phép biến đổi. Nói một cách khác, người ta cho rằng đó là môn học về "hình và số". Theo quan điểm chính thống, toán học là môn học nghiên cứu về các cấu trúc trừu tượng định nghĩa từ các tiên đề, bằng cách sử dụng luận lý học (lôgic) và ký hiệu toán học. Do khả năng ứng dụng rộng rãi trong nhiều khoa học, toán học được mệnh danh là "ngôn ngữ của vũ trụ". Hãy kiên trì và không ngừng nỗ lực trong việc chinh phục những con số và công thức này!

Nguồn :

Wikipedia - Bách khoa toàn thư

Tâm sự lớp 8

Lớp 8 - Năm thứ ba ở cấp trung học cơ sở, học tập bắt đầu nặng dần và sang năm lại là năm cuối cấp, áp lực lớn dần. Hãy chú ý đến sức khỏe, cân bằng giữa học và nghỉ ngơi để đạt hiệu quả tốt nhất!

Nguồn :

sưu tập

Liên hệ hợp tác hoặc quảng cáo: gmail

Điều khoản dịch vụ

Copyright © 2021 HOCTAPSGK