Trang chủ Hóa Học Lớp 8 cho 40 g hỗn hợp (al, ag) tan trong dd...

cho 40 g hỗn hợp (al, ag) tan trong dd hcl dư thu đc 7,437 lí khí tính phần trăm khối lượng trong hỗn hợp 2, hòa tan 30,6 g hỗn hợp X(caco3,na2co3)tròg dd hcl

Câu hỏi :

cho 40 g hỗn hợp (al, ag) tan trong dd hcl dư thu đc 7,437 lí khí

tính phần trăm khối lượng trong hỗn hợp

2, hòa tan 30,6 g hỗn hợp X(caco3,na2co3)tròg dd hcl thu đc 7,437 l khí tính kl từng chất trong x

Lời giải 1 :

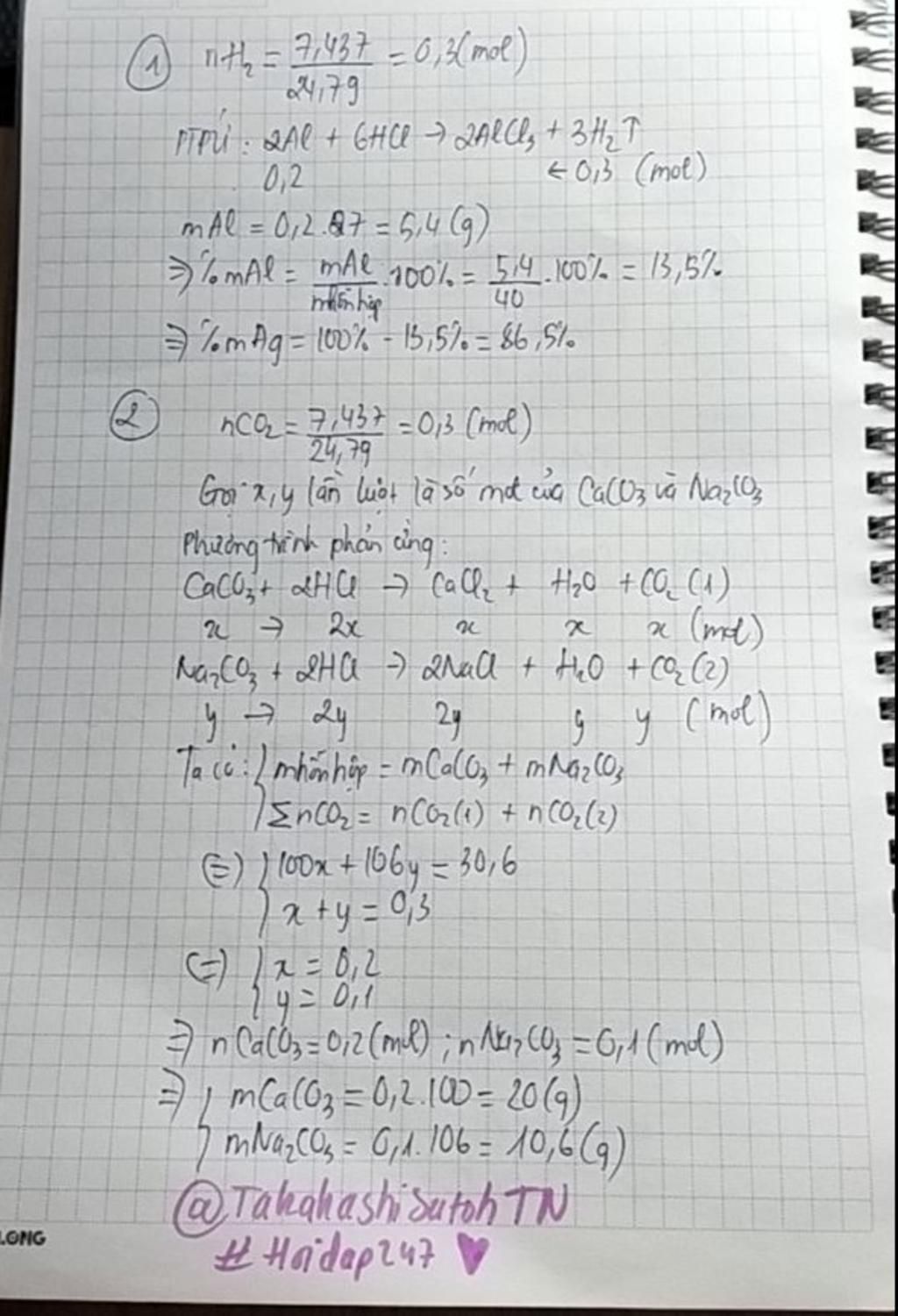
1)

$\rm 2Al + 6HCl \to 2AlCl_3 + 3H_2$

Theo đề

$\rm n_{H_2} = \dfrac{7,437}{24,79} = 0,3$ mol

Vì $\rm Ag$ không phản ứng với dd $\rm HCl$ nên chỉ xảy ra 1 phản ứng

$\rm 2Al + 6HCl \to 2AlCl_3 + 3H_2$

Theo PTHH:

$\rm n_{Al} = \dfrac{2}{3} n_{H_2} = \dfrac{2}{3} . 0,3 = 0,2$ mol

Phần trăm khối lượng các chất trong hỗn hợp:

$\rm \%m_{Al} = \dfrac{0,2 .27}{40} . 100\% = 13,5\%$

$\rm \%m_{Ag} = 100\% - 13,5\% =86,5\%$

_____________________________

2)

Phản ứng xảy ra:

$\rm CaCO_3 + 2HCl \to CaCl_2 + CO_2 + H_2O(1)$

$\rm Na_2CO_3 + 2HCl \to 2NaCl + CO_2 + H_2O(2)$

Gọi $\rm x,y$ lần lượt là số mol của $\rm CaCO_3, Na_2CO_3$

Theo đề, ta có pt:

$\rm 100x + 106y = 30,6(I)$

Theo PTHH:

$\rm n_{CO_2} = n_{Na_2CO_3} + n_{CaCO_3}$

$\rm \Leftrightarrow \dfrac{7,437}{24,79} = x + y$

$\rm \Leftrightarrow 0,3 = x + y(II)$

Từ $\rm (I),(II)$

$\rm \to x = 0,2; y = 0,1$

Khối lượng từng chất trong $\rm X$

$\rm m_{CaCO_3} = 0,2 . 100 = 20g$

$\rm m_{Na_2CO_3} = 0,1 . 106 = 10,6g$

Lời giải 2 :

:")) chữ ẩu hok nhìn ga cứ ns nha

 

image

Bạn có biết?

Hóa học là ngành nghiên cứu về thành phần, cấu trúc, tính chất, và sự thay đổi của vật chất. Hóa học nói về các nguyên tố, hợp chất, nguyên tử, phân tử, và các phản ứng hóa học xảy ra giữa những thành phần đó. Hóa học đôi khi được gọi là "khoa học trung tâm" vì nó là cầu nối các ngành khoa học tự nhiên khác như vật lý học, địa chất học và sinh học. Hãy đam mê và khám phá thế giới của các chất hóa học và phản ứng!

Nguồn :

Wikipedia - Bách khoa toàn thư

Tâm sự lớp 8

Lớp 8 - Năm thứ ba ở cấp trung học cơ sở, học tập bắt đầu nặng dần và sang năm lại là năm cuối cấp, áp lực lớn dần. Hãy chú ý đến sức khỏe, cân bằng giữa học và nghỉ ngơi để đạt hiệu quả tốt nhất!

Nguồn :

sưu tập

Liên hệ hợp tác hoặc quảng cáo: gmail

Điều khoản dịch vụ

Copyright © 2021 HOCTAPSGK