Trang chủ Hóa Học Lớp 8 an trong dung dịch B Bài 5:Để hòa tan hoàn...

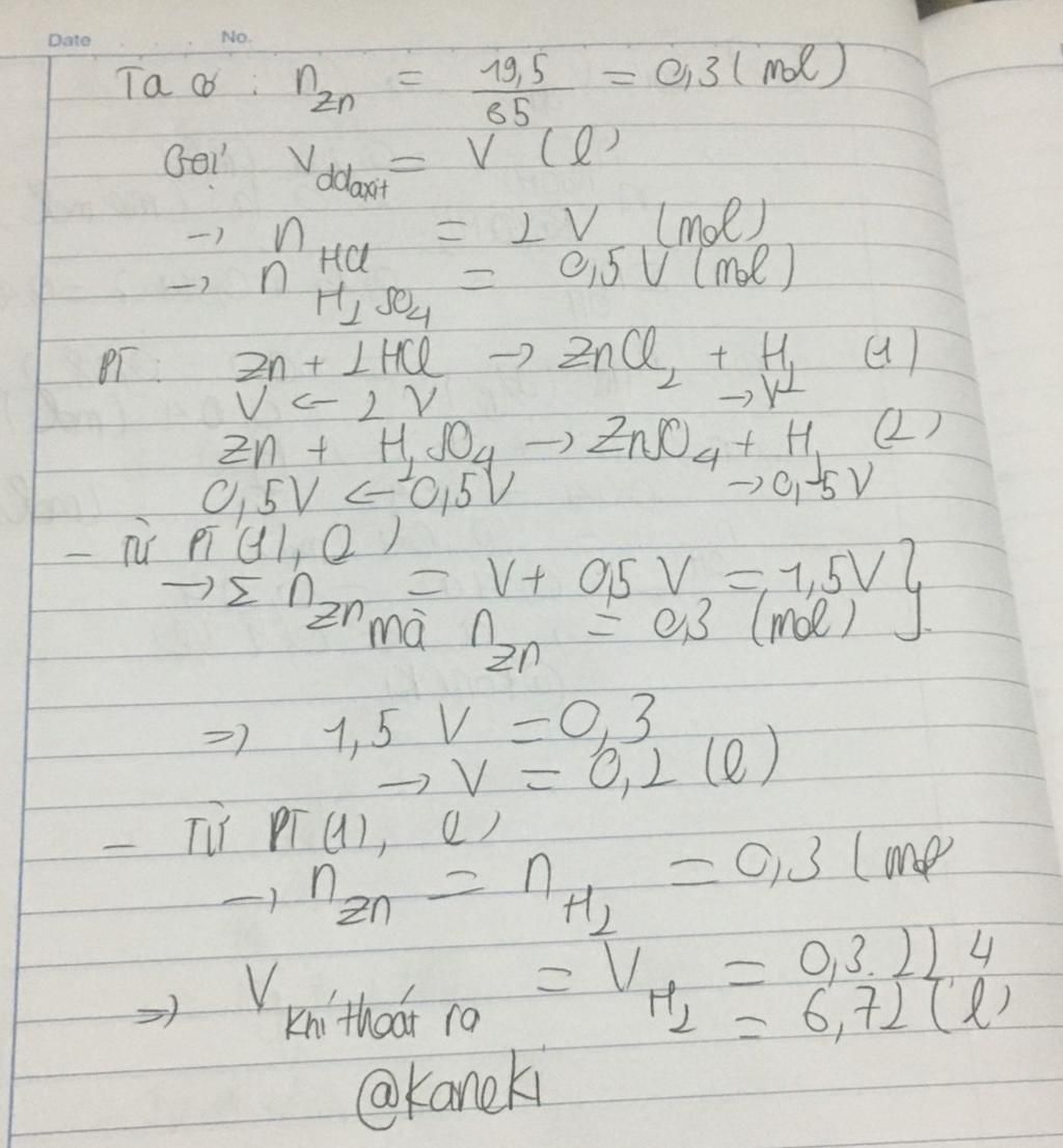
an trong dung dịch B Bài 5:Để hòa tan hoàn toàn 19,5 g Zn phải cần bao nhiêu lít dung dịch chứa hỗn hợp gồm HCl 2M và H,SO, 0,5M.Tính thể tích khí thoát ra

Câu hỏi :

giúp em bài 5 hoy ạaaaa

image

an trong dung dịch B Bài 5:Để hòa tan hoàn toàn 19,5 g Zn phải cần bao nhiêu lít dung dịch chứa hỗn hợp gồm HCl 2M và H,SO, 0,5M.Tính thể tích khí thoát ra

Lời giải 1 :

Câu $\rm 5$ 

$\rm n_{Zn}=\dfrac{19,5}{65}=0,3(mol)$ 

$\rm n_{HCl}=2.V(mol)$ (với $\rm V$ là thể tích dung dịch )

$\rm n_{H_2SO_4}=0,5.V(mol)$ 

Phương trình hóa học 

$\rm Zn +H_2SO_4 \xrightarrow{} ZnSO_4 +H_2$(1)

$\rm Zn+2HCl \xrightarrow{} ZnCl_2 +H_2$(2)

Theo phương trình hóa học 

$\rm n_{Zn(1)}=n_{H_2SO_4}=0,5V(mol)$

$\rm n_{Zn(2)}=\dfrac{1}{2}n_{HCl}=1V(mol)$

`->`$\rm n_{Zn}=n_{Zn(1)}+n_{Zn(2)}=1V+0,5V=0,3$

                                                    `<=>`$\rm V=0,2(l)$ 

$\rm n_{H_2}=n_{Zn}=0,3(mol)$

`->`$\rm V_{H_2(đktc})=0,3.22,4=6,72(l)$ 

Lời giải 2 :

@Kaneki

 

image

Bạn có biết?

Hóa học là ngành nghiên cứu về thành phần, cấu trúc, tính chất, và sự thay đổi của vật chất. Hóa học nói về các nguyên tố, hợp chất, nguyên tử, phân tử, và các phản ứng hóa học xảy ra giữa những thành phần đó. Hóa học đôi khi được gọi là "khoa học trung tâm" vì nó là cầu nối các ngành khoa học tự nhiên khác như vật lý học, địa chất học và sinh học. Hãy đam mê và khám phá thế giới của các chất hóa học và phản ứng!

Nguồn :

Wikipedia - Bách khoa toàn thư

Tâm sự lớp 8

Lớp 8 - Năm thứ ba ở cấp trung học cơ sở, học tập bắt đầu nặng dần và sang năm lại là năm cuối cấp, áp lực lớn dần. Hãy chú ý đến sức khỏe, cân bằng giữa học và nghỉ ngơi để đạt hiệu quả tốt nhất!

Nguồn :

sưu tập

Liên hệ hợp tác hoặc quảng cáo: gmail

Điều khoản dịch vụ

Copyright © 2021 HOCTAPSGK