Trang chủ Hóa Học Lớp 9 Đốt cháy hoàn toàn 14 gam một hợp chất hữu...

Đốt cháy hoàn toàn 14 gam một hợp chất hữu cơ Z, rồi dẫn toàn bộ hỗn hợp sản phẩm cháy lần lượt qua hai bình: bình 1 đựng H2SO4 đặc, bình 2 đựng dung dịch nược

Câu hỏi :

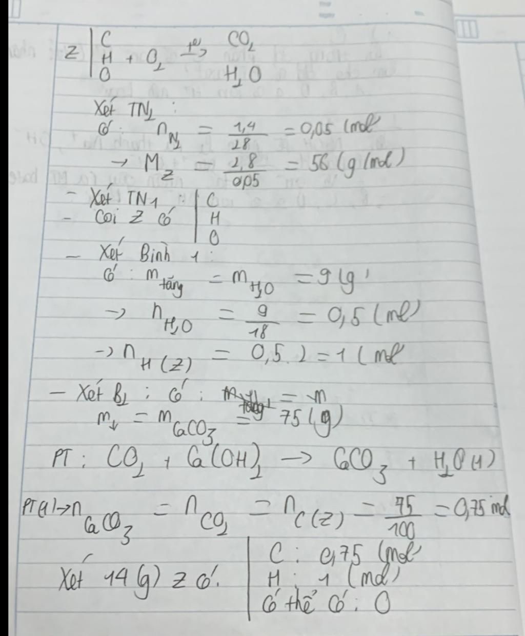
Đốt cháy hoàn toàn 14 gam một hợp chất hữu cơ Z, rồi dẫn toàn bộ hỗn hợp sản phẩm cháy lần lượt qua hai bình: bình 1 đựng H2SO4 đặc, bình 2 đựng dung dịch nược vôi trong dư. Thấy khối lượng bình 1 tăng 9 gam và ở bình 2 xuất hiện 75 gam kết tủa. Biết 2,8 gam Z có thể tích đúng bằng thể tích của 1,4 gam khí nitơ ở cùng điều kiện về nhiệt độ và áp suất. Xác định CTPT của Z. 

Lời giải 1 :

@Kaneki

 

image
image

Lời giải 2 :

Đáp án:

 

Giải thích các bước giải:

 `\text(Gọi CTHH của Z là) C_xH_yO_z`

`\text(Đốt cháy Z thu được) CO_2 , H_2O`

`\text(Khi cho qua bình 1 , bình 1 tăng ) -> m_(tăng)=m_(H_2O)=9gam`

`n_(H_2O)=9:18=0,5mol`

`->n_(H_(Z))=2n_(H_2O)=2.0,5=1`

`\text(Khi cho qua bình 2 , thu được 75g kết tủa)->m_(CaCO_3)=75gam`

`->n_(CaCO_3)=75:100=0,75mol`

`\text( BTNT) C ->n_(C_(Z))=n_(C_(CaCO_3))=0,75mol`

`\text(Ta có ) m_(O_(Z))=14-0,75.12-1.1=4gam`

`->n_(O_(Z))=4:16=0,25`

`->C:H:O=0,75:1:0,25=3:4:1`

`\text( Ta có 2,8g Z có thể tích = 1,4gam niitrogen)`

`->M_(Z)=(2,8)/(1,4:28)=56`

`->\text(CTPT Z là) C_3H_4O` `\text(Thõa mãn M=56)`

#Twelve

Bạn có biết?

Hóa học là ngành nghiên cứu về thành phần, cấu trúc, tính chất, và sự thay đổi của vật chất. Hóa học nói về các nguyên tố, hợp chất, nguyên tử, phân tử, và các phản ứng hóa học xảy ra giữa những thành phần đó. Hóa học đôi khi được gọi là "khoa học trung tâm" vì nó là cầu nối các ngành khoa học tự nhiên khác như vật lý học, địa chất học và sinh học. Hãy đam mê và khám phá thế giới của các chất hóa học và phản ứng!

Nguồn :

Wikipedia - Bách khoa toàn thư

Tâm sự lớp 9

Lớp 9 - Là năm cuối ở cấp trung học cơ sở, chúng ta sắp phải bước vào một kỳ thi căng thẳng và sắp chia tay bạn bè, thầy cô. Áp lực từ kỳ vọng của phụ huynh và tương lai lên cấp 3 thật là lớn, nhưng hãy tin vào bản thân và giữ vững sự tự tin!

Nguồn :

sưu tập

Liên hệ hợp tác hoặc quảng cáo: gmail

Điều khoản dịch vụ

Copyright © 2021 HOCTAPSGK