Trang chủ Vật Lý Lớp 9 Bài 4 Cho mạch điện như hình vẽ, trong đó,...

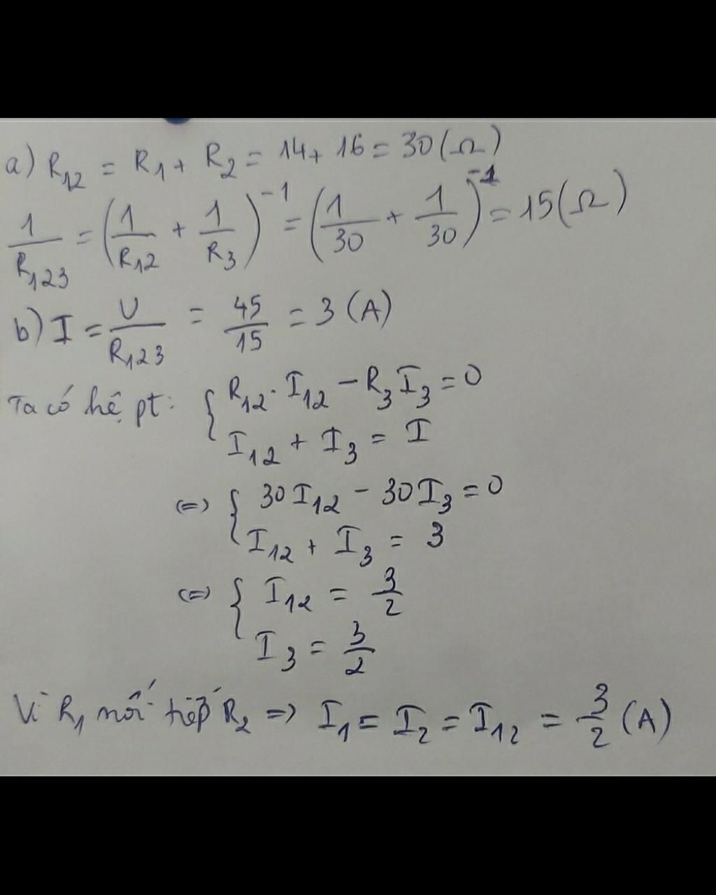
Bài 4 Cho mạch điện như hình vẽ, trong đó, R, = 142, R2= 162, R3 = 302, UAB = 45V. a) Tính điện trở tương đương của đoạn mạch. b) K đóng, tìm số chỉ của am

Câu hỏi :

em cảm ơn ạ thanks nhiều

image

Lời giải 1 :

Đáp án:

 

Giải thích các bước giải:

Tóm tắt

R1 = 14ʊ

R2 = 16ʊ

R3 = 30ʊ

Uab = 45V

Rtđ = ?  ʊ

 Iab = ? A

U1 = ? V

U2 = ? v

 

Giải

Điện trở tương đương của đoạn mạch R1 và R2 mắc nối tiếp là

R12 = R1 + R2 = 30 ʊ

Điện trở tương đương của cả đoạn mạch là

$\frac{1}{Rtđ}$ = $\frac{1}{R12}$ + $\frac{1}{R3}$  = 15ʊ

Cường độ dòng điện của đoạn mạch là

I = U / Rtd = 3A

Mik lm có đc vậy , xin lỗi bn nha :<

      

Thảo luận

Lời giải 2 :

Đáp án nè bạn cho mình tim nha
image

Bạn có biết?

Vật lý học (tiếng Anh:physics, từ tiếng Hi Lạp cổ: φύσις có nghĩa là kiến thức về tự nhiên) là một môn khoa học tự nhiên tập trung vào sự nghiên cứu vật chất và chuyển động của nó trong không gian và thời gian, cùng với những khái niệm liên quan như năng lượng và lực.Vật lí học là một trong những bộ môn khoa học lâu đời nhất, với mục đích tìm hiểu sự vận động của vũ trụ.

Nguồn : Wikipedia - Bách khoa toàn thư

Tâm sự 9

Lớp 9 - Là năm cuối ở cấp trung học cơ sở, sắp phải bước vào một kì thi căng thẳng và sắp chia tay bạn bè, thầy cô và cả kì vọng của phụ huynh ngày càng lớn mang tên "Lên cấp 3". Thật là áp lực nhưng các em hãy cứ tự tin vào bản thân là sẻ vượt qua nhé!

Nguồn : ADMIN :))

Liên hệ hợp tác hoặc quảng cáo: gmail

Điều khoản dịch vụ

Copyright © 2021 HOCTAPSGK