Trang chủ Toán Học Lớp 7 TRƯỜNG THCS NGÔ QUYỀN –- Năm học : 2021-2022 B.HÌNH...

TRƯỜNG THCS NGÔ QUYỀN –- Năm học : 2021-2022 B.HÌNH HỌC Bài 1: K a Cho hình vẽ. Biết K, = 48° ,H, = 132°, bly tại F. E a) Tính K, ,H, H b) Chứng minh : a//

Câu hỏi :

Giải giúp em với ai câu 1 thôi ăn em vote 5 sao

image

Lời giải 1 :

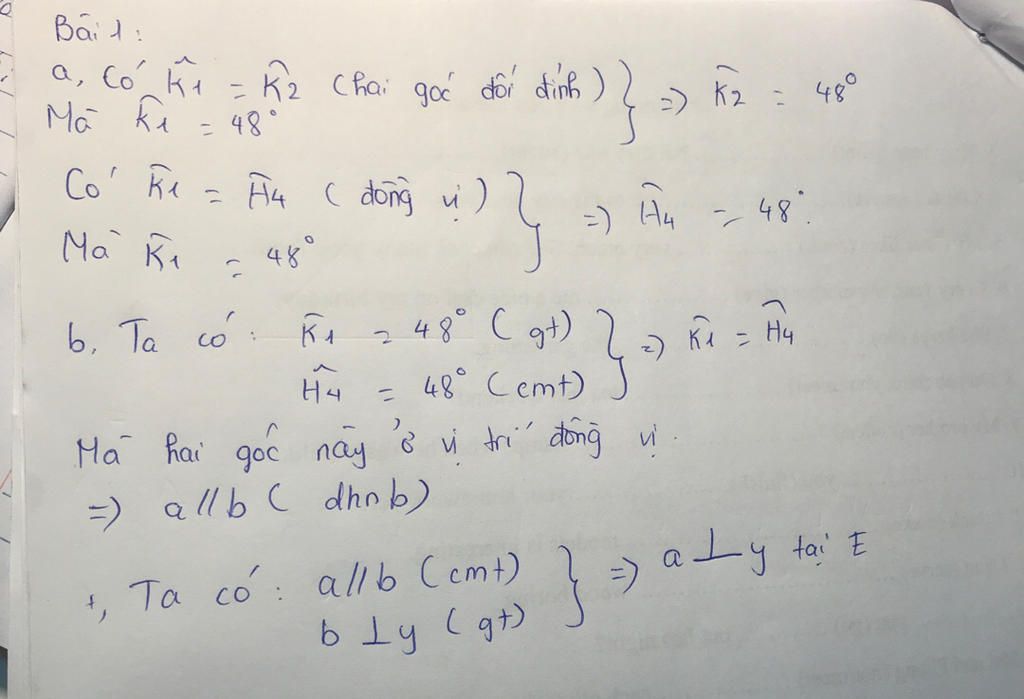
Bài 1 : a ) Ta có : góc K1 = góc K2 ( hai góc đối đỉnh )

Mà góc K1 = 48 độ ( gt )

=> Góc K2 = 48 độ 

Ta có : Góc H5 + góc H4 = 180 độ ( hai góc kề bù )

Mà góc H5 = 132 độ 

=> H4= 180 độ - 132 độ = 48 độ 

b ) Ta có : a//b  ( cmt )(1)

                 b vuông góc với I tại F ( gt ) ( 2 ) 

Từ (1) và ( 2 ) => a vuông  góc với I tại E ( từ vuông góc đến // )

 Chúc bạn học tốt !

 

Thảo luận

-- Uây , nhưng mà t chưa kiếm đc câu nào phù hợp để trả nời
-- 14 câu rùi
-- -.-
-- alo, bn câu rùi
-- tao đc 15 câu
-- Con ngoan trò giỏi thế
-- tao chuẩn bị vào đấu trường vioedu đây
-- bye

Lời giải 2 :

Gửi bạn bài làm
image

Bạn có biết?

Toán học là môn khoa học nghiên cứu về các số, cấu trúc, không gian và các phép biến đổi. Nói một cách khác, người ta cho rằng đó là môn học về "hình và số". Theo quan điểm chính thống neonics, nó là môn học nghiên cứu về các cấu trúc trừu tượng định nghĩa từ các tiên đề, bằng cách sử dụng luận lý học (lôgic) và ký hiệu toán học. Các quan điểm khác của nó được miêu tả trong triết học toán. Do khả năng ứng dụng rộng rãi trong nhiều khoa học, toán học được mệnh danh là "ngôn ngữ của vũ trụ".

Nguồn : Wikipedia - Bách khoa toàn thư

Tâm sự 7

Lớp 7 - Năm thứ hai ở cấp trung học cơ sở, một cuồng quay mới lại đến vẫn bước tiếp trên đường đời học sinh. Học tập vẫn là nhiệm vụ chính!

Nguồn : ADMIN :))

Liên hệ hợp tác hoặc quảng cáo: gmail

Điều khoản dịch vụ

Copyright © 2021 HOCTAPSGK