Trang chủ Toán Học Lớp 7 helpp, mn giúp em với a câu hỏi 2537045 -...

helpp, mn giúp em với a câu hỏi 2537045 - hoctapsgk.com

Câu hỏi :

helpp, mn giúp em với a

image

Lời giải 1 :

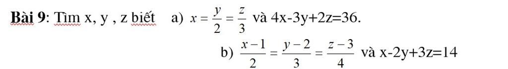
Bài 9:

 

image
image
image

Thảo luận

-- xong
-- dậy cày đi bạn
-- bạn ơi hôm nay là ngày gì mà toàn là chuyên gia trẻ lời hết các câu hỏi rùi
-- xin lỗi bạn vì mình ở tỉnh khác buổi sáng đi học ko có thời gian để cày đoàn,buổi tối mình mới cày được.Bạn kick mình cũng được.
-- vậy mình xin phép kick bạn ra nhé sry bạn vì tháng này nhóm đua top nên tuyển thành viên chăm ạ
-- cảm ơn vì đã đòng hành cùng với nhóm.
-- uk
-- cảm ơn bạn vì dã đồng hanhd cùng nhóm trong thời gian qua

Bạn có biết?

Toán học là môn khoa học nghiên cứu về các số, cấu trúc, không gian và các phép biến đổi. Nói một cách khác, người ta cho rằng đó là môn học về "hình và số". Theo quan điểm chính thống neonics, nó là môn học nghiên cứu về các cấu trúc trừu tượng định nghĩa từ các tiên đề, bằng cách sử dụng luận lý học (lôgic) và ký hiệu toán học. Các quan điểm khác của nó được miêu tả trong triết học toán. Do khả năng ứng dụng rộng rãi trong nhiều khoa học, toán học được mệnh danh là "ngôn ngữ của vũ trụ".

Nguồn : Wikipedia - Bách khoa toàn thư

Tâm sự 7

Lớp 7 - Năm thứ hai ở cấp trung học cơ sở, một cuồng quay mới lại đến vẫn bước tiếp trên đường đời học sinh. Học tập vẫn là nhiệm vụ chính!

Nguồn : ADMIN :))

Liên hệ hợp tác hoặc quảng cáo: gmail

Điều khoản dịch vụ

Copyright © 2021 HOCTAPSGK