Trang chủ Hóa Học Lớp 9 Bài 7*: Dẫn V lit khí CO2 (đktc) vào 200...

Bài 7*: Dẫn V lit khí CO2 (đktc) vào 200 gam dung dịch Ca(OH)2 14,8%. Sau phản ứng thu được 30 gam kết tủa (CaCO3). Tính V. Giúp em với ạ Có hay nhất.

Câu hỏi :

Bài 7*: Dẫn V lit khí CO2 (đktc) vào 200 gam dung dịch Ca(OH)2 14,8%. Sau phản ứng thu được 30 gam kết tủa (CaCO3). Tính V. Giúp em với ạ Có hay nhất.

Lời giải 1 :

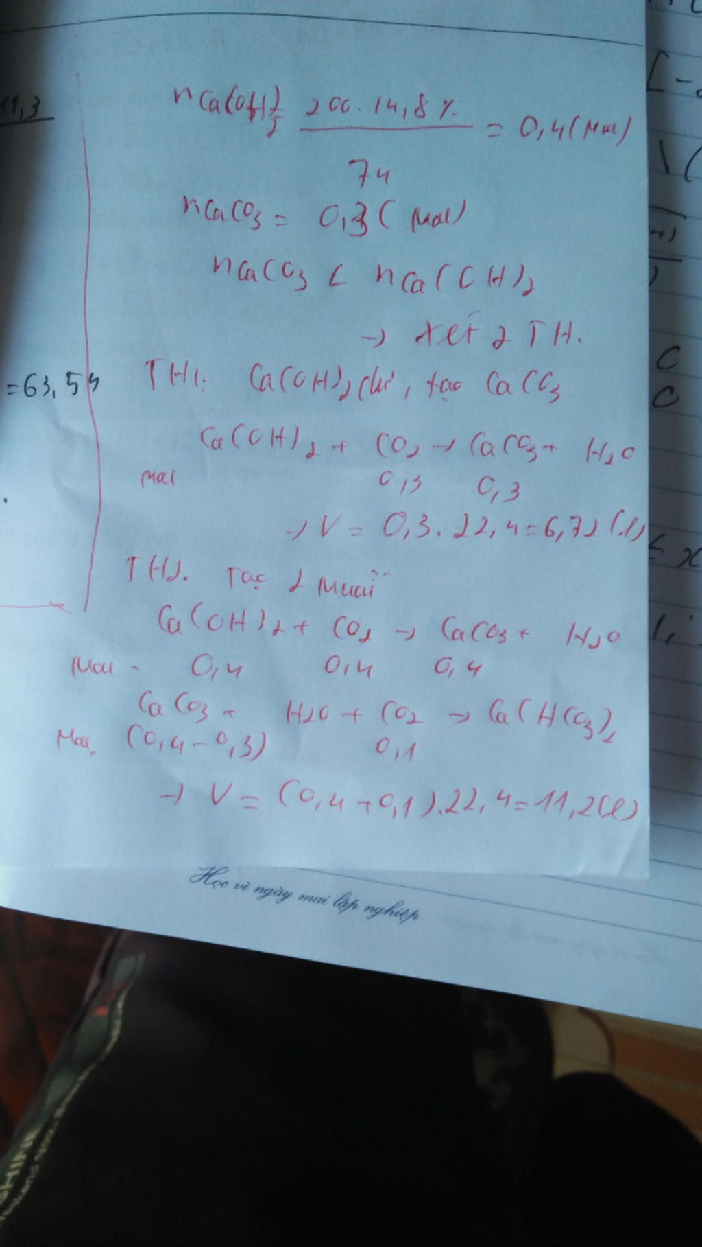
Đáp án:

 

Giải thích các bước giải:

 

image

Thảo luận

Lời giải 2 :

Đáp án:

 

Giải thích các bước giải:

CO2 + Ca(OH)2 -> CaCO3 + H2O

0,1           0,1             0,1

2CO2 + Ca(OH)2 -> Ca(HCO3)2

0,2           0,1

nCaCO3 = 10/100= 0,1 mol

nCa(OH)2 = 0,2 mol

VCO2= (0,2+0,1)*22,4= 6,72 l

 

Bạn có biết?

Hóa học, một nhánh của khoa học tự nhiên, là ngành nghiên cứu về thành phần, cấu trúc, tính chất, và sự thay đổi của vật chất.Hóa học nói về các nguyên tố, hợp chất, nguyên tử, phân tử, và các phản ứng hóa học xảy ra giữa những thành phần đó.Hóa học đôi khi được gọi là "khoa học trung tâm" vì nó là cầu nối các ngành khoa học tự nhiên khác như vật lý học, địa chất học và sinh học.

Nguồn : Wikipedia - Bách khoa toàn thư

Tâm sự 9

Lớp 9 - Là năm cuối ở cấp trung học cơ sở, sắp phải bước vào một kì thi căng thẳng và sắp chia tay bạn bè, thầy cô và cả kì vọng của phụ huynh ngày càng lớn mang tên "Lên cấp 3". Thật là áp lực nhưng các em hãy cứ tự tin vào bản thân là sẻ vượt qua nhé!

Nguồn : ADMIN :))

Liên hệ hợp tác hoặc quảng cáo: gmail

Điều khoản dịch vụ

Copyright © 2021 HOCTAPSGK