Trang chủ Toán Học Lớp 7 Các bạn làm nhanh giúp mình nha! Mình đang cần...

Các bạn làm nhanh giúp mình nha! Mình đang cần gấp câu hỏi 2260320 - hoctapsgk.com

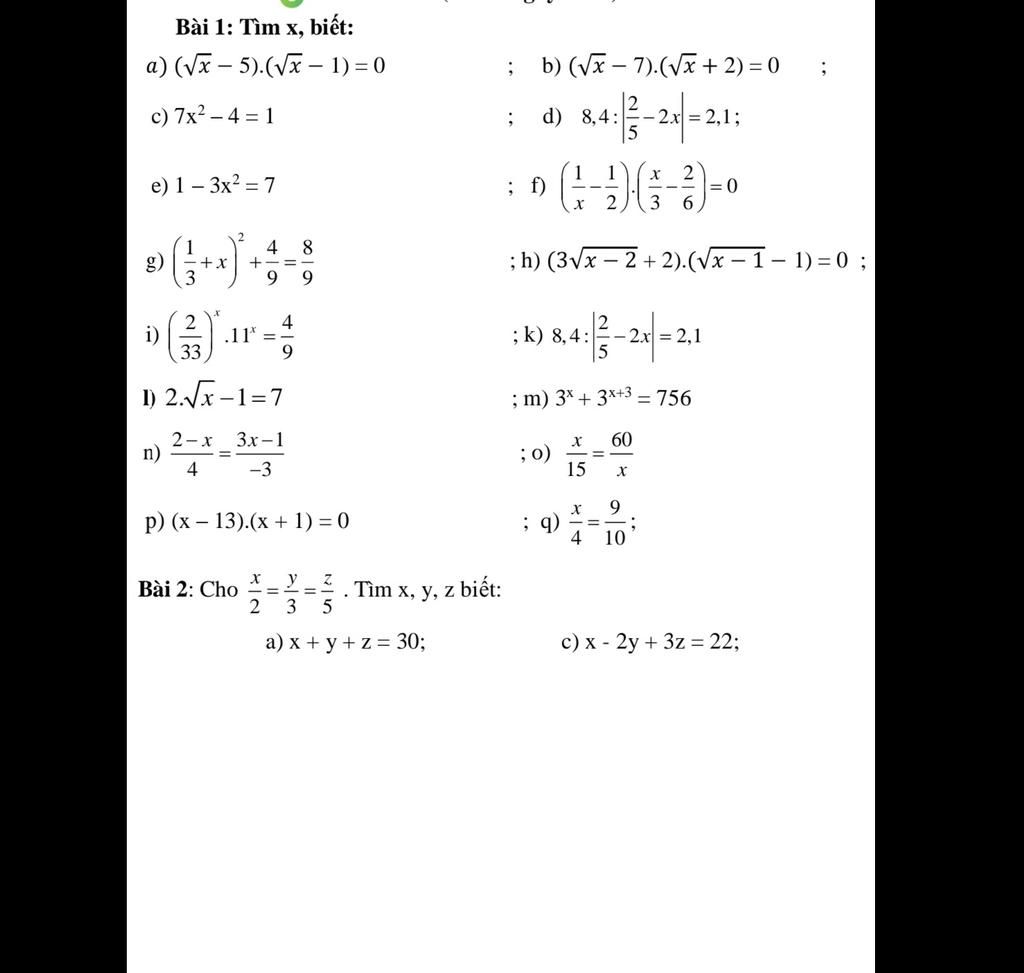
Câu hỏi :

Các bạn làm nhanh giúp mình nha! Mình đang cần gấp

image

Lời giải 1 :

Câu 1:

a) ( căn x - 5) ( căn x - 1) = 0
=> cănx - 5 = 0 hoặc cănx - 1 = 0
=> x = 25 hoặc x = 1
b) căn x - 7 ) ( căn x + 2) = 0
=> căn x = 7 hoặc căn x = -2 ( loại)
=> x = 49
c) 7x^2 - 4 = 1
=> 7x^2 = 5
=> x^2 = 5/7 => x = căn 5/7

d) 8,4 : | 2/5 - 2x | = 2,1
=> | 2/5 - 2x | = 4
=> 2/5 - 2x = 4 hoặc 2/5 - 2x = -4
=> x = -9/5 hoặc x = 11/5
e) 1 - 3x^2 = 7
=> -3x^2 = 6
=> x^2 = -2 ( loại )
=> vô nghiệm

f) ( 1/x - 1/2) ( x / 3 -2/6) = 0
=> 1/x - 1/2 = 0 hoặc x/ 3 - 2/6 = 0
=> 1/x = 1/2 hoặc x/3 = 1/3
=> x = 2 hoặc x = 1
g) ( 1/3 + x)^2 + 4/9 = 8/9

=> ( 1/3 + x )^2 = 8/9 - 4/9 = 4/9
=> ( 1/3 + x)^2 = (2/3)^2
=> 1/3 + x = 2/3
=> x = 1/3

h) ( 3 căn x - 2 + 2) ( căn x - 1 - 1 ) = 0
th1
=> 3 căn x - 2 + 2 = 0
=> 3 căn x - 2 = -2 ( loại)
th2
=> căn x - 1 - 1 = 0
=> căn x - 1 = 1
=> x - 1 = 1
=> x = 2
i) (2/33 x 11)^x = 4/9
=>2/3^x = 4/9
=> x = 2

n) ( 2 - x ) 3= (3x - 1)4
=> 6- 3x = 12x - 4
=> -15x = -10
=> x = -10/-15 = 2/3
o) x^2 = 60 . 15 = 900
=> x= 30 hoặc x = -30

p) ( x - 13) ( x + 1) = 0
=> x - 13 = 0 hoặc x + 1 = 0
=> x = 13 hoặc x = -1
q) 10x = 36
=> x = 36/10 = 3,6

Câu 2:

a) x/2 = y/3 = z/5 = ( x+y+z)/(2+3+5) = 30/10 = 3
=> x = 6
=> y = 9
=> z = 15

b) x/2 = y/3 = z/5 
áp dụng dãy tỉ số = nhau
x - 2y + 3z / 2 - 3.2 + 3.5 = 22/ 11 = 2
=> x = 4
=> y = 6
=> x = 10

cho mk hay nhất và cảm ơn nhé

Thảo luận

-- mk sửa rùi đó mk in đậm và viết câu cho bạn dễ nhìn nữa cho mk xin hay nhất ạ
-- bạn ơi cho mk hay nhất ạ
-- bao giờ bạn làm xong câu hỏi của tôi
-- Mình muốn cho lắm nhưng không đc. Mình chỉ thấy có chỗ cho 5 vote và cám ơn thôi! Mình không thấy chộ cho câu trả lời hay nhất
-- ukm
-- bạn ơi bạn cho mk hay nhất ạ
-- bạn ơicho mk hay nhất nhé bạn kia hình như sao chép của mk đó với lại bạn ấy làm ít quá
-- bạn ơi cho mk hay nhất nhé

Lời giải 2 :

Đáp án:

 

Câu 1:

a) ( căn x - 5) ( căn x - 1) = 0
=> cănx - 5 = 0 hoặc cănx - 1 = 0
=> x = 25 hoặc x = 1
b) căn x - 7 ) ( căn x + 2) = 0
=> căn x = 7 hoặc căn x = -2 ( loại)
=> x = 49
c) 7x^2 - 4 = 1
=> 7x^2 = 5
=> x^2 = 5/7 => x = căn 5/7

d) 8,4 : | 2/5 - 2x | = 2,1
=> | 2/5 - 2x | = 4
=> 2/5 - 2x = 4 hoặc 2/5 - 2x = -4
=> x = -9/5 hoặc x = 11/5
e) 1 - 3x^2 = 7
=> -3x^2 = 6
=> x^2 = -2 ( loại )
=> vô nghiệm

 

Bạn có biết?

Toán học là môn khoa học nghiên cứu về các số, cấu trúc, không gian và các phép biến đổi. Nói một cách khác, người ta cho rằng đó là môn học về "hình và số". Theo quan điểm chính thống neonics, nó là môn học nghiên cứu về các cấu trúc trừu tượng định nghĩa từ các tiên đề, bằng cách sử dụng luận lý học (lôgic) và ký hiệu toán học. Các quan điểm khác của nó được miêu tả trong triết học toán. Do khả năng ứng dụng rộng rãi trong nhiều khoa học, toán học được mệnh danh là "ngôn ngữ của vũ trụ".

Nguồn : Wikipedia - Bách khoa toàn thư

Tâm sự 7

Lớp 7 - Năm thứ hai ở cấp trung học cơ sở, một cuồng quay mới lại đến vẫn bước tiếp trên đường đời học sinh. Học tập vẫn là nhiệm vụ chính!

Nguồn : ADMIN :))

Liên hệ hợp tác hoặc quảng cáo: gmail

Điều khoản dịch vụ

Copyright © 2021 HOCTAPSGK