Trang chủ Toán Học Lớp 12 Cho hàm số f (x) có đạo hàm trên IR...

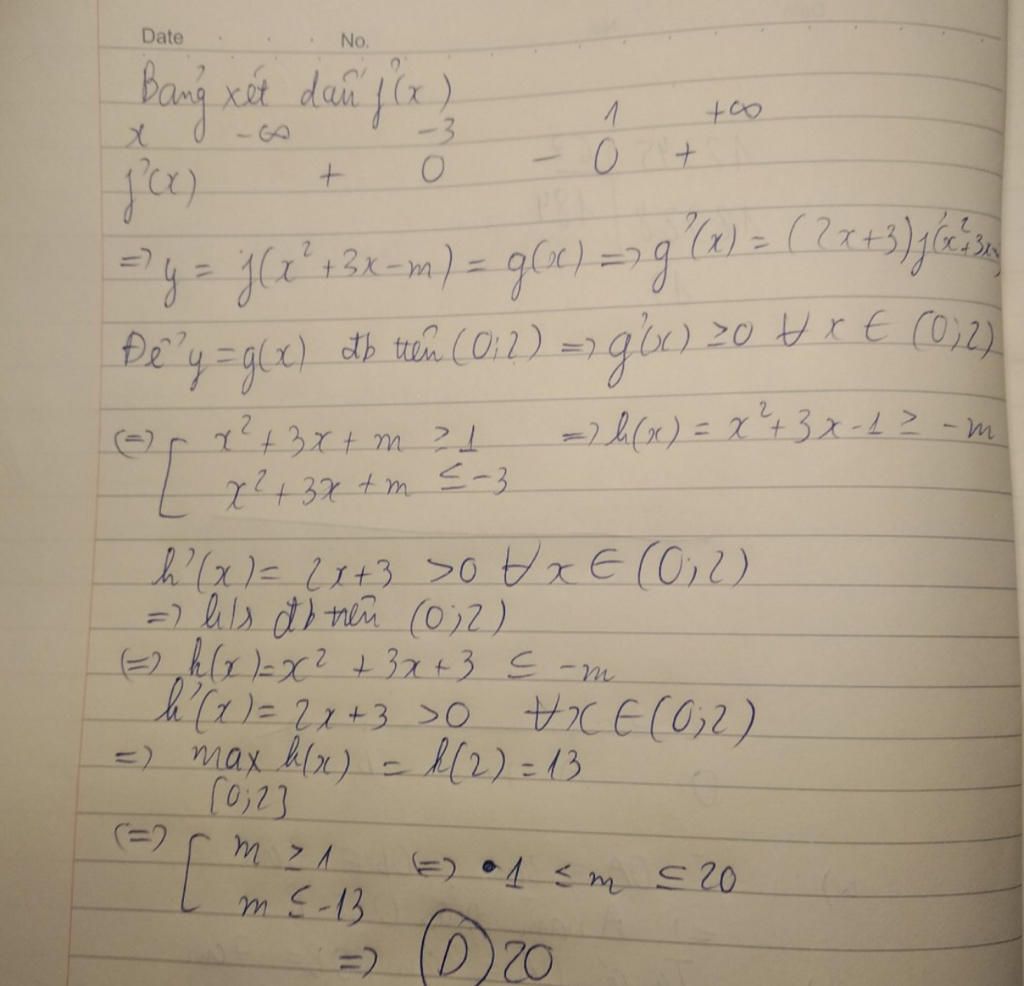
Cho hàm số f (x) có đạo hàm trên IR là f' (x) = (x – 1) (x + 3). Có bao nhiêu giá trị nguyên của tham số m thuộc đoạn [–10; 20] để hàm số y = f (x² + 3x –

Câu hỏi :

làm giúp em bài này với ạ.

image

Lời giải 1 :

𝗗𝗮𝗽 𝗮́𝗻:𝗗
𝗛𝗼̣𝗰 𝗧𝗼̂́𝘁!!!
𝗠𝗶𝗸 𝘅𝗶𝗻 𝗰𝘁𝗹𝗵𝗻 𝗻𝗵𝗲́:𝟯

image

Thảo luận

-- sai dấu rồi ạ chỗ ngoặc [
-- Xin lỗi ah cho Mik ctlhn
-- Viết kiểu chữ này kiểu j thế

Lời giải 2 :

Đáp án và giải thích các bước giải:

Ảnh cho hn nha lần sau TL tiếp 

image

Bạn có biết?

Toán học là môn khoa học nghiên cứu về các số, cấu trúc, không gian và các phép biến đổi. Nói một cách khác, người ta cho rằng đó là môn học về "hình và số". Theo quan điểm chính thống neonics, nó là môn học nghiên cứu về các cấu trúc trừu tượng định nghĩa từ các tiên đề, bằng cách sử dụng luận lý học (lôgic) và ký hiệu toán học. Các quan điểm khác của nó được miêu tả trong triết học toán. Do khả năng ứng dụng rộng rãi trong nhiều khoa học, toán học được mệnh danh là "ngôn ngữ của vũ trụ".

Nguồn : Wikipedia - Bách khoa toàn thư

Tâm sự 12

Lớp 12 - Năm cuối ở cấp tiểu học, năm học quan trọng nhất trong đời học sinh trải qua bao năm học tập, bao nhiêu kì vọng của người thân xung quanh ta. Những nỗi lo về thi đại học và định hướng tương lai thật là nặng. Hãy tin vào bản thân là mình sẽ làm được rồi tương lai mới chờ đợi các em!

Nguồn : ADMIN :))

Liên hệ hợp tác hoặc quảng cáo: gmail

Điều khoản dịch vụ

Copyright © 2021 HOCTAPSGK