Trang chủ Hóa Học Lớp 9 Be: CX s cac dd HCL gom Nas SOy >...

Be: CX s cac dd HCL gom Nas SOy > New phiong phop HH nhân mau He S04, NacL del B3 : Cho 6,49 Ś Le chêo chế anit He SOn Cer a) nh kL 12 S04 Abo thab diep hi

Câu hỏi :

aaaaaaaaaaaaaaaaaaaaaaaaaaaaaaaa

image

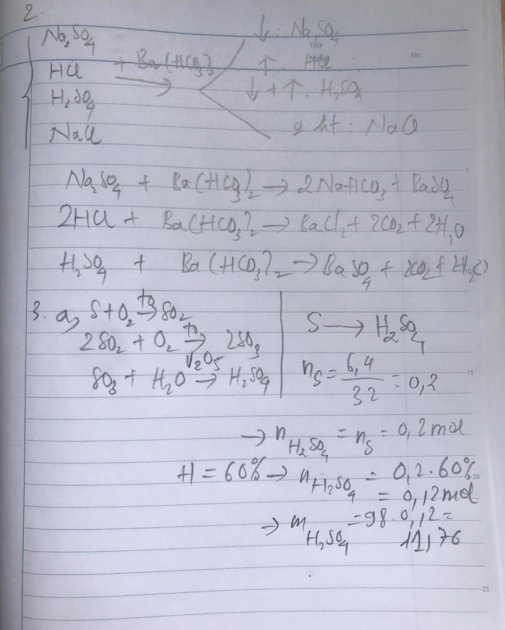
Lời giải 1 :

Nèk b
image

Thảo luận

Lời giải 2 :

Đáp án:

 

Giải thích các bước giải:

Cho quì tím vào từng dd:

+Hóa đỏ:`HCl,H_2SO_4(1)`

+Không hiện tượng:`Na_2SO_4,NaCl(2)`

Cho `Ba(NO_3)_2` vào `(1)`:

+Xuất hiện kết tủa:`H_2SO_4`

+Không hiện tượng:`HCl`

Cho `Ba(NO_3)_2` vào `(2):

+Xuất hiện kết tủa:`Na_2SO_4`

+Không hiện tượng:`NaCl`

`PTHH:`

`Ba(NO_3)_2+H_2SO_4→BaSO_4↓+2HNO_3`

`Ba(NO_3)_2+Na_2SO_4→BaSO_4↓+2NaNO_3`

Bài 3:

`n_{S}=\frac{6,4}{32}=0,2(mol)`

$S+O_2\xrightarrow{t^o}SO_2$

`0,2:0,2:0,2`

$2SO_2+O_2\xrightarrow{t^o}2SO_3$

`0,2:0,1:0,2`

`SO_3+H_2O→H_2SO_4`

`0,2:0,2:0,2`

Vì hiệu suất phản ứng là `60%` nên `n_{H_2SO_4}=0,2.60%=0,12(mol)`

`m_{H_2SO_4}=0,12.98=11,76(g)`

Xin hay nhất!!!

Bạn có biết?

Hóa học, một nhánh của khoa học tự nhiên, là ngành nghiên cứu về thành phần, cấu trúc, tính chất, và sự thay đổi của vật chất.Hóa học nói về các nguyên tố, hợp chất, nguyên tử, phân tử, và các phản ứng hóa học xảy ra giữa những thành phần đó.Hóa học đôi khi được gọi là "khoa học trung tâm" vì nó là cầu nối các ngành khoa học tự nhiên khác như vật lý học, địa chất học và sinh học.

Nguồn : Wikipedia - Bách khoa toàn thư

Tâm sự 9

Lớp 9 - Là năm cuối ở cấp trung học cơ sở, sắp phải bước vào một kì thi căng thẳng và sắp chia tay bạn bè, thầy cô và cả kì vọng của phụ huynh ngày càng lớn mang tên "Lên cấp 3". Thật là áp lực nhưng các em hãy cứ tự tin vào bản thân là sẻ vượt qua nhé!

Nguồn : ADMIN :))

Liên hệ hợp tác hoặc quảng cáo: gmail

Điều khoản dịch vụ

Copyright © 2021 HOCTAPSGK