Trang chủ Hóa Học Lớp 9 Câu I: (2,5 đ) Từ FeS, không khi, nưóc và...

Câu I: (2,5 đ) Từ FeS, không khi, nưóc và khi hydro, em hly viết các PTHH điều chế axit sunfiaric, Feso, Câu 3: (3,0đ) aHãy nhận biết 4 dung dịch mắt nhân

Câu hỏi :

Mọi người giúp em giải bài này vớiiiiiiiiiiiii ạ

image

Lời giải 1 :

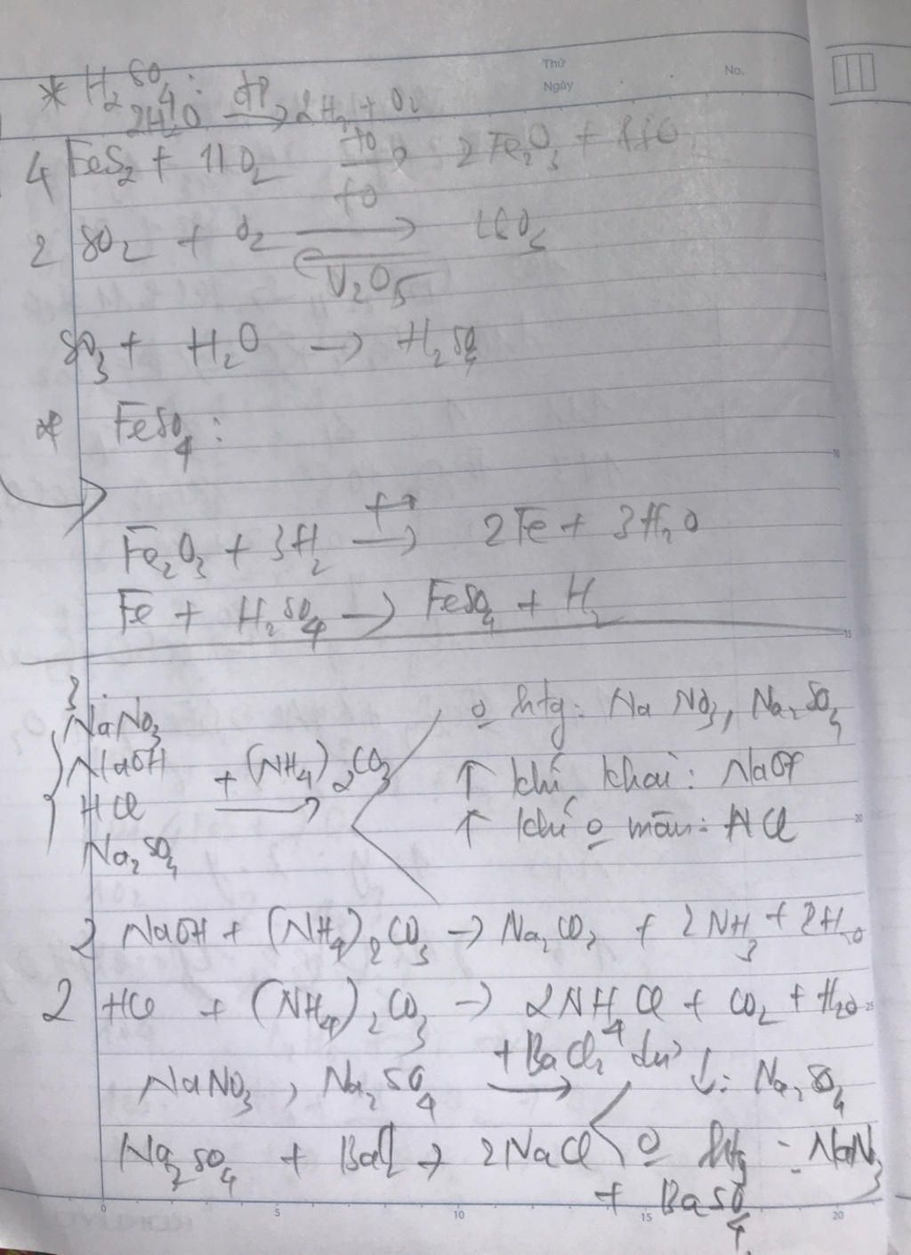
Câu 1: +) `H_2SO_4`

`4FeS_2 + 11O_2 \overset{t^o}\to 2Fe_2O_3 + 8SO_2`

`2SO_2 + O_2 \overset{t^o; xt}\to 2SO_3`

`SO_3 + H_2O -> H_2SO_4`

+) `FeSO_4`

`4FeS_2 + 11O_2 \overset{t^o}\to 2Fe_2O_3 + 8SO_2`

`2SO_2 + O_2 \overset{t^o; xt}\to 2SO_3`

`SO_3 + H_2O -> H_2SO_4`

`Fe + H_2SO_4 -> FeSO_4 + H_2\uparrow`

Câu 2:

`a.` Trích mỗi lọ một ít làm mẫu thử, rồi cho quỳ tím lần lượt vào các mẫu thử:

+) Mẫu thử làm quỳ tím hóa xanh: `NaOH`.

+) Mẫu thử làm quỳ tím hóa đỏ: `HCl`.

+) Mẫu thử không làm đổi màu quỳ tím: `NaNO_3, Na_2SO_4`. (Nhóm `I`)

Cho dung dịch `BaCl_2` vào mẫu thử nhóm `I`:

+) Mẫu thử xuất hiện kết tủa trắng: `Na_2SO_4`.

`->` `BaCl_2 + Na_2SO_4 -> BaSO_4\downarrow + 2NaCl`

+) Không hiện tượng: `NaNO_3`.

`b.` Đất trồng bị chua: Đất có độ `pH < 7`.

Xử lí: Rải vôi khắp đất trồng đang bị chua: Làm tăng độ kiềm và giảm độ chua của đất.

Thảo luận

-- Có pt fes2 —> fe + s hả b
-- Để mình sửa lại ạ

Lời giải 2 :

Nèk
image
image

Bạn có biết?

Hóa học, một nhánh của khoa học tự nhiên, là ngành nghiên cứu về thành phần, cấu trúc, tính chất, và sự thay đổi của vật chất.Hóa học nói về các nguyên tố, hợp chất, nguyên tử, phân tử, và các phản ứng hóa học xảy ra giữa những thành phần đó.Hóa học đôi khi được gọi là "khoa học trung tâm" vì nó là cầu nối các ngành khoa học tự nhiên khác như vật lý học, địa chất học và sinh học.

Nguồn : Wikipedia - Bách khoa toàn thư

Tâm sự 9

Lớp 9 - Là năm cuối ở cấp trung học cơ sở, sắp phải bước vào một kì thi căng thẳng và sắp chia tay bạn bè, thầy cô và cả kì vọng của phụ huynh ngày càng lớn mang tên "Lên cấp 3". Thật là áp lực nhưng các em hãy cứ tự tin vào bản thân là sẻ vượt qua nhé!

Nguồn : ADMIN :))

Liên hệ hợp tác hoặc quảng cáo: gmail

Điều khoản dịch vụ

Copyright © 2021 HOCTAPSGK