Trang chủ Toán Học Lớp 10 sin a = 0, Lời giải chi tiết: M =...

sin a = 0, Lời giải chi tiết: M = A M = A' a = m27 sin a = 0 + A a = kn, k E Z (2n + 1) T

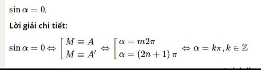
Câu hỏi :

Giải thích hộ cái,khó hiểu wa

image

Lời giải 1 :

$\begin{array}{l} \sin \alpha  = 0\\  \Leftrightarrow \left[ \begin{array}{l} \sin \alpha  = 0 + k2\pi \\ \sin \alpha  = \left( {\pi  - 0} \right) + n2\pi  \end{array} \right.\\  \Leftrightarrow \left[ \begin{array}{l} \sin \alpha  = k2\pi \\ \sin \alpha  = \pi  + n2\pi  \end{array} \right.\\ \end{array}$

Biểu diễn hai họ nghiệm trên đường tròn lượng giác ta được hai họ nghiệm này  được biểu diễn bằng giao điểm của đường tròn lượng giác và $Ox$ và chu kỳ của hai điểm này là $\pi$ nên khi gộp các họ nghiệm lại ta được

$\alpha =k\pi, k\in \mathbb{Z} $

 

Thảo luận

-- `\alpha =k\pi, k\in \mathbb{Z}` ?
-- Đó là khi bạn gộp hai họ nghiệm lại
-- Giao của hai họ nghiệm ấy là $k\pi$
-- sao biết nó giao vậy :v
-- Chỉ cách nhìn với
-- Đã nói là vẽ nó trên đường tròn lượng giác ấy hoặc cách dễ hơn nè lên xem thầy Chính Đức Phúc :VV
-- có thấy đâu,xin linh thầy Chính
-- Lấy nhanh kẻo mod xóa :VV https://www.youtube.com/watch?v=37AZs-uQRuc phút 36:57

Lời giải 2 :

`sinalpha=0`

`->`\(\left[ \begin{array}{l}\alpha=k2π\\\alpha=π+k2π\end{array} \right.\) 

`<=>alpha=kπ`

Bạn có biết?

Toán học là môn khoa học nghiên cứu về các số, cấu trúc, không gian và các phép biến đổi. Nói một cách khác, người ta cho rằng đó là môn học về "hình và số". Theo quan điểm chính thống neonics, nó là môn học nghiên cứu về các cấu trúc trừu tượng định nghĩa từ các tiên đề, bằng cách sử dụng luận lý học (lôgic) và ký hiệu toán học. Các quan điểm khác của nó được miêu tả trong triết học toán. Do khả năng ứng dụng rộng rãi trong nhiều khoa học, toán học được mệnh danh là "ngôn ngữ của vũ trụ".

Nguồn : Wikipedia - Bách khoa toàn thư

Tâm sự 10

Lớp 10 - Năm thứ nhất ở cấp trung học phổ thông, năm đầu tiên nên có nhiều bạn bè mới đến từ những nơi xa hơn vì ngôi trường mới lại mỗi lúc lại xa nhà mình hơn. Được biết bên ngoài kia là một thế giới mới to và nhiều điều thú vị, một trang mới đang chò đợi chúng ta.

Nguồn : ADMIN :))

Liên hệ hợp tác hoặc quảng cáo: gmail

Điều khoản dịch vụ

Copyright © 2021 HOCTAPSGK