Trang chủ Toán Học Lớp 10 cos a = 0; Lời giải chi tiết: + m27...

cos a = 0; Lời giải chi tiết: + m27 [M = B 0 + [M = B' cos a = + kn, k E Z 2 + n27 2 a =

Câu hỏi :

giải thích hộ ,khó hiểu wa

image

Lời giải 1 :

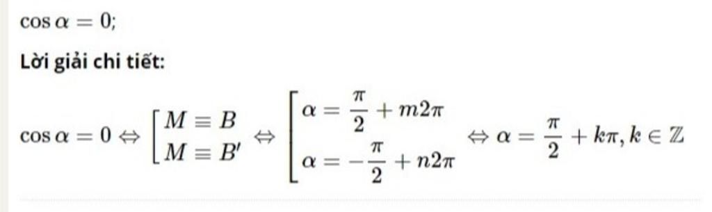
 Ở hình là đường tròn lượng giác.

Bạn nhìn điểm $M_{1}(x_{0}; 0)$ trên đường tròn lượng giác, giá trị của $x_{0}$ chính là giá trị của $cos\alpha$.

Vậy khi $cos\alpha=0$ thì $x_{0}=0$ hay khi đó $M_{1}$ trùng với điểm $O$

Lúc đó thì $M$ sẽ trùng với $B$ hoặc $B'$

Khi $M$ trùng $B$ thì $\alpha=$ $\dfrac{π}{2}+m2π$ 

Khi $M$ trùng $B'$ thì $\alpha=$ $-\dfrac{π}{2}+n2π$ 

Sử dụng phương pháp kết hợp nghiệm được:

$\alpha=$ $\dfrac{π}{2}+kπ$ $(k∈Z)$

Chú thích:

Phương pháp kết hợp nghiệm:

Biểu diễn các điểm trên đường tròn lượng giác.

Nếu có những điểm cách đều nhau 1 chu kì $T$ thì ta viết: $x=ω+kT$ 

Chú ý chọn $ω$ là góc cung gần nhất với $A(1;0)$.

Ở bài này có hai điểm cùng cách $A_{1}$ cung bằng nhau thì chọn $ω>0$ nghĩa là chọn

$ω=$ $\dfrac{π}{2}$

Bạn có gì không hiểu hỏi dưới phần bình luận nhé.

 

image

Thảo luận

-- Mình chỉ muốn hỏi là kết hợp nghiệm kiểu gì mà ra cái dòng cuối thôi á
-- mình sửa rồi đó, bạn xem thử xem.
-- Trao hay nhất r nhé =)))
-- cảm ơn nhiều

Lời giải 2 :

Vai trò của $m, n, k$ là như nhau

image

Bạn có biết?

Toán học là môn khoa học nghiên cứu về các số, cấu trúc, không gian và các phép biến đổi. Nói một cách khác, người ta cho rằng đó là môn học về "hình và số". Theo quan điểm chính thống neonics, nó là môn học nghiên cứu về các cấu trúc trừu tượng định nghĩa từ các tiên đề, bằng cách sử dụng luận lý học (lôgic) và ký hiệu toán học. Các quan điểm khác của nó được miêu tả trong triết học toán. Do khả năng ứng dụng rộng rãi trong nhiều khoa học, toán học được mệnh danh là "ngôn ngữ của vũ trụ".

Nguồn : Wikipedia - Bách khoa toàn thư

Tâm sự 10

Lớp 10 - Năm thứ nhất ở cấp trung học phổ thông, năm đầu tiên nên có nhiều bạn bè mới đến từ những nơi xa hơn vì ngôi trường mới lại mỗi lúc lại xa nhà mình hơn. Được biết bên ngoài kia là một thế giới mới to và nhiều điều thú vị, một trang mới đang chò đợi chúng ta.

Nguồn : ADMIN :))

Liên hệ hợp tác hoặc quảng cáo: gmail

Điều khoản dịch vụ

Copyright © 2021 HOCTAPSGK