Trang chủ Toán Học Lớp 8 Bài 4: (3,5 điểm ).Cho tam giác ABC vuông tại...

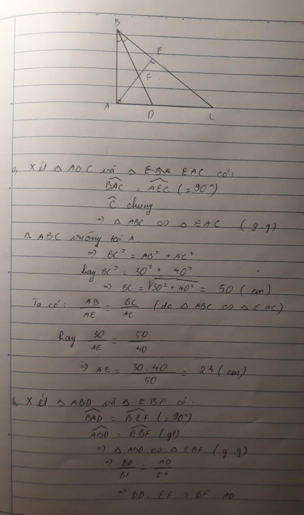
Bài 4: (3,5 điểm ).Cho tam giác ABC vuông tại A, biết AB= 30cm, AC= 40cm, đường cao AE, đường phân giác BD, gọi F là giao điểm của AE và BD. a) Chứng minh tam

Câu hỏi :

Bài 4: (3,5 điểm ).Cho tam giác ABC vuông tại A, biết AB= 30cm, AC= 40cm, đường cao AE, đường phân giác BD, gọi F là giao điểm của AE và BD. a) Chứng minh tam giác ABC đồng dạng với tam giác EAC.Tính AE b) Chứng minh BD.EF = BF.AD c) Chứng minh AF = AD d) Tính AF. Bạn nào có thể giúp mình câu hỏi này được ko nhưng các bạn có thể giải nhanh được ko vì mình đang có việc gấp

image

Lời giải 1 :

Đáp án+Giải thích các bước giải:

Bạn xem hình nha

image
image

Thảo luận

Lời giải 2 :

Bài 4:

`a)`

Xét `ΔABC` và `ΔEAC` có:

       `hat{C}:chung`

   `hat{BAC}=hat{AEC}=90^o`

`⇒ΔABC`$\sim$`ΔEAC(g.g)(đpcm)`

Áp dụng định lý Py-ta-go vào `Δ` vuông `ABC` ta có:

                     `BC²=AB²+AC²`

                     `BC²=30²+40²`

                     `BC²=900+1600`

                     `BC²=2500`

                     `BC=`$\sqrt[]{2500}$ 

                     `BC=50(cm)`

Vì `ΔABC`$\sim$`ΔEAC(g.g)`

`⇒(BA)/(AE)=(BC)/(AC)`

`⇒30/(AE)=50/40`

`⇒AE=(30.40)/50`

`⇒AE=24(cm)`

`b)`

Xét `ΔBAD` và `ΔBEF` có:

     `hat{B_1}=hat{B_2}(g``t)`

    `hat{BAD}=hat{BEF}=90^o`

`⇒ΔBAD`$\sim$`ΔBEF(g.g)`

`⇒(BD)/(BF)=(AD)/(EF)`

`⇒BD.EF=BF.AD(đpcm)`

`c)`

Theo câu `b)ΔBAD`$\sim$`ΔBEF(g.g)`

`⇒hat{D_1}=hat{F_2}(2` góc tương ứng `)`

Mà `hat{F_1}=hat{F_2}(2` góc đối đỉnh `)`

`⇒hat{D_1}=hat{F_1}`

`⇒ΔAFD` cân tại `A`

`⇒AF=AD(` tính chất `Δ` cân `)(đpcm)`

`d)`

Vì `BD` là tia phân giác của `hat{ABC}` nên:

            `(AD)/(CD)=(AB)/(CB)`

    `⇒(AD)/(AD+CD)=(AB)/(AB+CB)`

    `⇒(AD)/(AC)=(AB)/(AB+CB)`

    `⇒(AD)/40=30/(30+50)`

    `⇒AD=(40.30)/(30+50)`

    `⇒AD=1200/80`

    `⇒AD=15(cm)`

Mà `AF=AD(cmt)`

`⇒AF=15(cm)`

image

Bạn có biết?

Toán học là môn khoa học nghiên cứu về các số, cấu trúc, không gian và các phép biến đổi. Nói một cách khác, người ta cho rằng đó là môn học về "hình và số". Theo quan điểm chính thống neonics, nó là môn học nghiên cứu về các cấu trúc trừu tượng định nghĩa từ các tiên đề, bằng cách sử dụng luận lý học (lôgic) và ký hiệu toán học. Các quan điểm khác của nó được miêu tả trong triết học toán. Do khả năng ứng dụng rộng rãi trong nhiều khoa học, toán học được mệnh danh là "ngôn ngữ của vũ trụ".

Nguồn : Wikipedia - Bách khoa toàn thư

Tâm sự 8

Lớp 8 - Năm thứ ba ở cấp trung học cơ sở, học tập bắt đầu nặng dần, sang năm lại là năm cuối cấp áp lực lớn dần nhưng các em vẫn phải chú ý sức khỏe nhé!

Nguồn : ADMIN :))

Liên hệ hợp tác hoặc quảng cáo: gmail

Điều khoản dịch vụ

Copyright © 2021 HOCTAPSGK