Trang chủ Toán Học Lớp 7 ....................................... Chọn đáp án nào đây ? HuhuhuBạn hãy chọn...

....................................... Chọn đáp án nào đây ? HuhuhuBạn hãy chọn đáp án đúng. Cho tam giác ABC vuông tại A và có AB = 9cm, hai đưong trung tuyể

Câu hỏi :

....................................... Chọn đáp án nào đây ? Huhuhu

image

Lời giải 1 :

Đáp án:

để `AD⊥BE` thì `AC=`$\sqrt[]{162}(cm)$

Giải thích các bước giải:


Lý thuyết:
Tính chất ba đường trung tuyến trong tam giác.
Lời giải:
Ta có hình vẽ:
( Xem hình ảnh)
Đặt `BC=a(cm),AC=b(cm).`


`text{Áp dụng định lí Pytago trong tam giác vuông ABC ta có:}`


`BC^2=AB^2+AC^2⇒a^2=9^2+b^2⇔a^2=81+b^2` (1)


Xét tam giác vuông `ABC` có đường trung tuyến `AD` ứng với cạnh huyền `BC.`


`⇒AD=1/2BC=1/2a.`


Vì `G` là trọng tâm tam giác `ABC` nên ta có:


`AG=2/3AD=1/3a` và `BG=2/3BE.`


Giả sử `BE⊥AD.`

`text{Áp dụng định lí Pytago trong hai tam giác vuông GAB và ABE ta có:}`

`AB^2=GB^2+AG^2⇒9^2=4/9BE^2+(a^2)/9⇒4/9BE^2=81−(a^2)/9` (2)

`BE^2=AB^2+AE^2⇒BE^2=81+(b^2)/4` (3)

`text{Thay (3) và (1) vào (2) ta được:}`

`4/9(81+b^2/4)=81−(81+b^2)/9`

`⇔4/9. 81+4/9.(b^2)/4=(648−b^2)/9`

`⇔324/9+b^2/9=(648−b^2)/9`

`⇒324+b^2=648−b^2`


`⇔b^2+b^2=648−324`

`⇔b^2=162`

`⇒b=`$\sqrt[]{162}(cm)$

`⇒AC=`$\sqrt[]{162}(cm)$

Vậy để `AD⊥BE` thì `AC=`$\sqrt[]{162}(cm)$



image

Thảo luận

-- Thanks
-- Ngu dốt
-- Tham nam

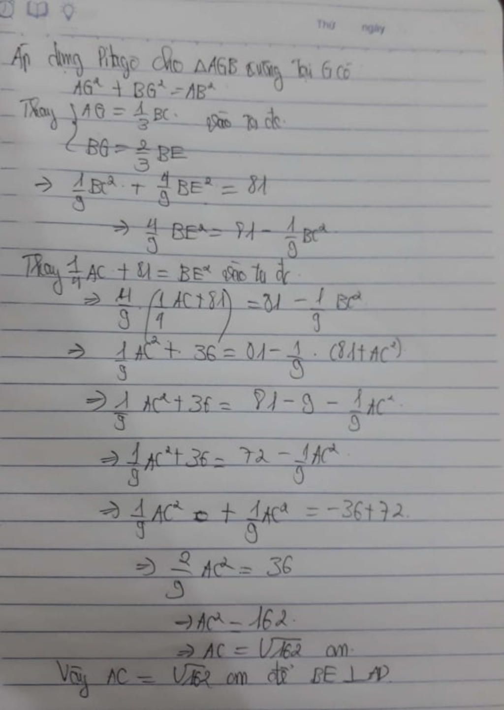
Lời giải 2 :

Đáp án:

`C. AD⊥BE` và `AC = \sqrt{168}cm`

giải thích : Ảnh đính kèm.

image
image

Bạn có biết?

Toán học là môn khoa học nghiên cứu về các số, cấu trúc, không gian và các phép biến đổi. Nói một cách khác, người ta cho rằng đó là môn học về "hình và số". Theo quan điểm chính thống neonics, nó là môn học nghiên cứu về các cấu trúc trừu tượng định nghĩa từ các tiên đề, bằng cách sử dụng luận lý học (lôgic) và ký hiệu toán học. Các quan điểm khác của nó được miêu tả trong triết học toán. Do khả năng ứng dụng rộng rãi trong nhiều khoa học, toán học được mệnh danh là "ngôn ngữ của vũ trụ".

Nguồn : Wikipedia - Bách khoa toàn thư

Tâm sự 7

Lớp 7 - Năm thứ hai ở cấp trung học cơ sở, một cuồng quay mới lại đến vẫn bước tiếp trên đường đời học sinh. Học tập vẫn là nhiệm vụ chính!

Nguồn : ADMIN :))

Liên hệ hợp tác hoặc quảng cáo: gmail

Điều khoản dịch vụ

Copyright © 2021 HOCTAPSGK