Trang chủ Toán Học Lớp 7 Giúp mk với nhé. Ai nhanh ctlhn ạ câu hỏi...

Giúp mk với nhé. Ai nhanh ctlhn ạ câu hỏi 2044903 - hoctapsgk.com

Câu hỏi :

Giúp mk với nhé. Ai nhanh ctlhn ạ

image

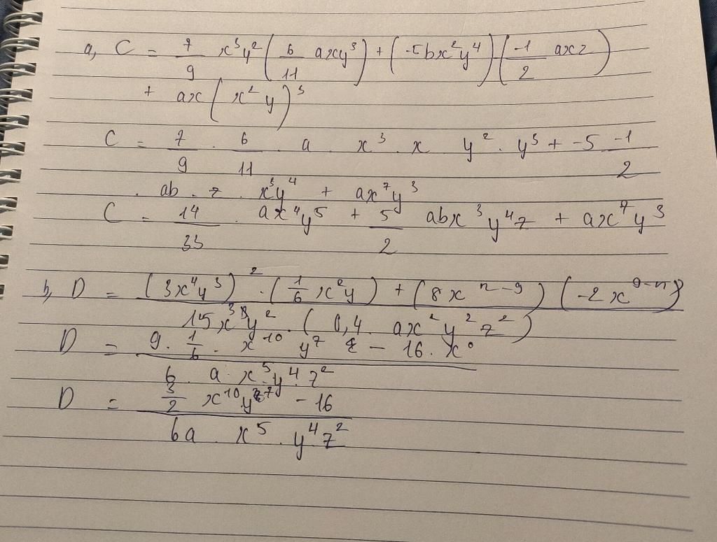
Lời giải 1 :

Chữ mik hơi xấu, bạn thông cảm và nếu không nhìn rõ có thể bảo mình nhaaa! Cho mik xin 5*+cảm ơn+ctlhn
image

Thảo luận

-- bạn ơi ý b ý ạ bạn làm kĩ hơn đc ko ạ
-- đùng cái ra x^0 mk thấy hơi khó hiểu ạ
-- Mk là chủ tus bạn nhé bạn tl đi mk vote ạ
-- Mình tưởng chủ tus là hongnhanchu màaaa?
-- Còn câu hỏi của bạn thì mình giải thích nhé!
-- mình tách lấy x^n-9 × x^9-n = x^n-9+9-n = x^0

Bạn có biết?

Toán học là môn khoa học nghiên cứu về các số, cấu trúc, không gian và các phép biến đổi. Nói một cách khác, người ta cho rằng đó là môn học về "hình và số". Theo quan điểm chính thống neonics, nó là môn học nghiên cứu về các cấu trúc trừu tượng định nghĩa từ các tiên đề, bằng cách sử dụng luận lý học (lôgic) và ký hiệu toán học. Các quan điểm khác của nó được miêu tả trong triết học toán. Do khả năng ứng dụng rộng rãi trong nhiều khoa học, toán học được mệnh danh là "ngôn ngữ của vũ trụ".

Nguồn : Wikipedia - Bách khoa toàn thư

Tâm sự 7

Lớp 7 - Năm thứ hai ở cấp trung học cơ sở, một cuồng quay mới lại đến vẫn bước tiếp trên đường đời học sinh. Học tập vẫn là nhiệm vụ chính!

Nguồn : ADMIN :))

Liên hệ hợp tác hoặc quảng cáo: gmail

Điều khoản dịch vụ

Copyright © 2021 HOCTAPSGK