Trang chủ Toán Học Lớp 6 623 9 26 2 5- 211- 다이야 (JUD 93 미국의...

623 9 26 2 5- 211- 다이야 (JUD 93 미국의 IF COM) GALL THI

Câu hỏi :

Plssssssssssssssssssssssssssssssss

image

Lời giải 1 :

#Wan 

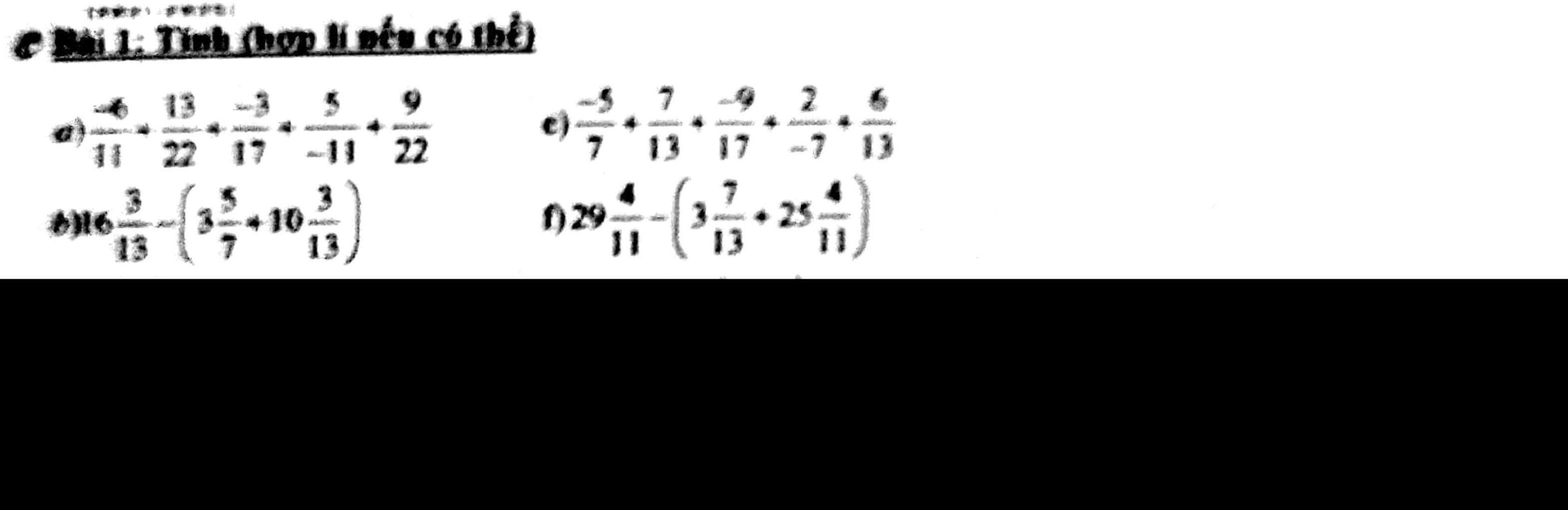
`-6/11 + 13/22 + (-3/17) + 5/(-11) + 9/12` 

 `= (-6/11 - 5/11) + (13/22 + 9/22) - 3/17`

`= -11/11 + 22/22 - 3/17`

`= -1 + 1 - 3/17`

`= 0 - 3/17`

`= -3/17`

~~~~~~~~~~~~~~~~~~~~~~~~~~~~~~~

`c) -5/7 + 7/13 + (-9/17) + 2/(-7) + 6/13`

`= (-5/7 - 2/7) + (7/13 + 6/13) - 9/17`

`= -7/7 + 13/13 - 9/17`

`= -1 + 1 - 9/17`

`= 0 - 9/17`

`= -9/17`

~~~~~~~~~~~~~~~~~~~~~~~~~~~~~~

`b) 16 3/13 - (3 5/7 + 10 3/13)`

`= 16 3/13 - 3 5/7 - 10 3/13`

`= (16 3/13 - 10 3/13) - 3 5/7`

`= 6- 3 5/7`

`= 6 - 26/7`

`= 16/7`

~~~~~~~~~~~~~~~~~~~~~~~~~~~~~~~~~

`d) 29 4/11 - (3 7/13 + 25 4/11)`

`=29 4/11 - 3 7/13 - 25 4/11`

`= (29 4/11 - 25 4/11) - 3 7/13`

`= 4 - 46/13`

`= 6/13`

 

Thảo luận

-- Ủa mắc gì tội? Sai thì nhắc chứ sao.
-- Bạn chờ mik xíu ạ. Xong bài này mik sửa liền.
-- :))
-- Mình sửa rồi nhé.
-- Câu này sai nặng rõ ràng từ đề bài câu `b` là tính sai cả `1` câu lớn rồi thì đây là lỗi nặng hay nhẹ ?
-- Sai có 1/4, xóa có hơi nặng không ạ?
-- Sai có 1/4, xóa có hơi nặng không ạ? `->` 1/4 nhưng là bài lớn trong 4 bài rồi mà?có phải `1` lỗi nhỏ bình thường đâu
-- Mỗi người có một quan điểm riêng, riêng mình thì nghĩ đơn giản là sai 1 câu có thể nhắc để sửa chứ nếu xóa thì công sức giải 3 câu kia bằng 0.

Lời giải 2 :

Đáp án + Giải thích các bước giải:

`a.`

`-6/11 + 13/22 + (-3/17) + 5/(-11) + 9/12` 

 `= (13/22 + 9/22) + (-6/11 - 5/11) - 3/17`

`= 1 - 1 - 3/17`

`= 0 - 3/17`

`= -3/17`

________________________________________

`b) 16 3/13 - (3 5/7 + 10 3/13)`

`= 16 3/13 - 3 5/7 - 10 3/13`

`= (16 3/13 - 10 3/13) - 3 5/7`

`= 6 - 26/7

`= 16/7`

________________________________________

`c) -5/7 + 7/13 + (-9/17) + 2/(-7) + 6/13`

`= (7/13 + 6/13) + (-5/7 - 2/7) - 9/17`

`= 1 - 1 - 9/17`

`= 0 - 9/17`

`= -9/17`

_________________________________________

`d) 29 4/11 - (3 7/13 + 25 4/11)`

`=29 4/11 - 3 7/13 - 25 4/11`

`= - 3 7/13 + (29 4/11 - 25 4/11)`

`= -46/13 + 4`

`= 6/13`

Bạn có biết?

Toán học là môn khoa học nghiên cứu về các số, cấu trúc, không gian và các phép biến đổi. Nói một cách khác, người ta cho rằng đó là môn học về "hình và số". Theo quan điểm chính thống neonics, nó là môn học nghiên cứu về các cấu trúc trừu tượng định nghĩa từ các tiên đề, bằng cách sử dụng luận lý học (lôgic) và ký hiệu toán học. Các quan điểm khác của nó được miêu tả trong triết học toán. Do khả năng ứng dụng rộng rãi trong nhiều khoa học, toán học được mệnh danh là "ngôn ngữ của vũ trụ".

Nguồn : Wikipedia - Bách khoa toàn thư

Tâm sự 6

Lớp 6 - Là năm đầu tiên của cấp trung học cơ sở. Được sống lại những khỉ niệm như ngày nào còn lần đầu đến lớp 1, được quen bạn mới, ngôi trường mới, một tương lai mới!

Nguồn : ADMIN :))

Liên hệ hợp tác hoặc quảng cáo: gmail

Điều khoản dịch vụ

Copyright © 2021 HOCTAPSGK