Trang chủ Hóa Học Lớp 8 Câu 6. Dẫn khí hiđro lấy dư qua 8,1g ZnO...

Câu 6. Dẫn khí hiđro lấy dư qua 8,1g ZnO nung nóng. a. Tính thể tích khí hiđro cần dùng ở đktc? b. Tính khối lượng Zn thu được ? c. Cho toàn bộ Zn thu

Câu hỏi :

Câu 6. Dẫn khí hiđro lấy dư qua 8,1g ZnO nung nóng. a. Tính thể tích khí hiđro cần dùng ở đktc? b. Tính khối lượng Zn thu được ? c. Cho toàn bộ Zn thu được trên vào 200 gam dung dịch axit clohiđric (HCl) 7,3%. Hãy tính thể tích khí hiđro tạo thành (đktc)? d. Nếu dẫn lượng khí hiđro cần dùng cho phản ứng ở câu a qua 3,24 gam FexOy nung nóng thấy phản ứng vừa đủ. Xác định công thức hóa học của FexOy?

Lời giải 1 :

Đáp án:

 

Giải thích các bước giải:

 Câu 6.  `n_(ZnO)` = `(8,1)/81` = `0,1` `mol`

    `ZnO` + `H_2` `-t°→` `Zn` + `H_2O`

    `0,1`     `  0,1`              `0,1`      `0,1`    `mol`

a.  `V_(H_2)`(đktc) = `0,1` . `22,4` = `2,24` `l`

b. `m_(Zn)` = `0,1` . `65` = `6,5` gam

c. `n_(HCl)` = `(200. 7,3%)/(36,5)` = `0,4` mol

                `Zn` +   `2``HCl` `→` `ZnCl_2` + `H_2`

Xét tỉ lệ : `(0,1)/1` < `(0,4)/2` `→`  `HCl` dư.

`→` `n_(H_2)` = `n_(Zn)` = `0,1` mol  `→` `V_(H_2)` (đktc) = `0,1` . `22,4` = `2,24` `l`

d.    `Fe_xO_y` + `y``H_2`  `-t°→` `x``Fe` + `y``H_2O`

 `-` Theo PTHH : `n_O` = `n_(H_2)` = `0,1` mol

`→` `m_(Fe)` = `3,24` `-` `m_O` = `3,24` `-` `0,1` . `16` = `1,64` gam

`→` `n_(Fe)` = `(1,64)/56` = `0,03` ???

 

Thảo luận

-- Cảm ơn bạn nhé
-- câu d bạn coi lại đề chưa?
-- Mình cx thấy đề bài câu d sai sai
-- ukm. Chứ mk chắc chắn cách làm của mk đúng.
-- thực ra nếu thay số thì vẫn giải đc.
-- Đề này là cô cho mình để ôn hk mình mở file r sao chép nên ko sai đề, chắc khi soạn đề cô soạn sai
-- bạn hỏi lại cô sau nhaa
-- Ừm ! Cảm ơn bạn nhiều nhé!

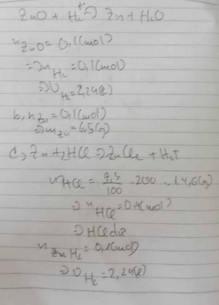
Lời giải 2 :

Đáp án:

 

Giải thích các bước giải:

 

image
image

Bạn có biết?

Hóa học, một nhánh của khoa học tự nhiên, là ngành nghiên cứu về thành phần, cấu trúc, tính chất, và sự thay đổi của vật chất.Hóa học nói về các nguyên tố, hợp chất, nguyên tử, phân tử, và các phản ứng hóa học xảy ra giữa những thành phần đó.Hóa học đôi khi được gọi là "khoa học trung tâm" vì nó là cầu nối các ngành khoa học tự nhiên khác như vật lý học, địa chất học và sinh học.

Nguồn : Wikipedia - Bách khoa toàn thư

Tâm sự 8

Lớp 8 - Năm thứ ba ở cấp trung học cơ sở, học tập bắt đầu nặng dần, sang năm lại là năm cuối cấp áp lực lớn dần nhưng các em vẫn phải chú ý sức khỏe nhé!

Nguồn : ADMIN :))

Liên hệ hợp tác hoặc quảng cáo: gmail

Điều khoản dịch vụ

Copyright © 2021 HOCTAPSGK