Trang chủ Toán Học Lớp 9 Bài 3: Cho parabol (P): y =x² và đường thăng...

Bài 3: Cho parabol (P): y =x² và đường thăng (d): y =x + m ww wm a, Xác định tọa độ giao điểm của ĮP) và (d) khi m = 6 %3D b, Biện luận theo m số giao điểm

Câu hỏi :

gfbvgbtdgbd

image

Lời giải 1 :

Đáp án:

 

Giải thích các bước giải:

 

image

Thảo luận

Lời giải 2 :

Đáp án:

 

Giải thích các bước giải:

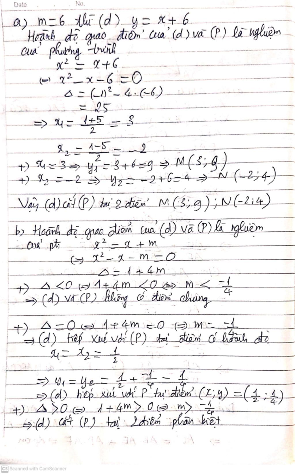
 a. gọi A B là toạ độ gđ của 2 hs

thay m=6 vào d và xet pt toạ độ gđ của d và P, ta có:

x²-x-6=0

giải pt ta có x1=3,x2=-2

ta có y1=x1²

y2=x2²

thay vào lần lượt ta có :y1=9

y2=4

vậy d cắt P tại 2 điểm A(3,9),B(-2,4)

B.

xét phương trình toạ độ giao điểm của d và P , ta có:

x²-x-m=0(1)

Δ=(-1)²-4(-m)

=1+4m

đề 2 hs ko có điểm chung ⇔Δ<0

⇔1+4m<0

⇔4m<1

⇔m<-1/4

để 2 hs có 1 điểm chung ⇔Δ=0

⇔1+4m=0

⇔m=-1/4

⇒pt (1) có No kép: $\frac{-b}{2a}$ =$\frac{1}{2}$ 

giao điểm của d và P  là 1 điểm có toạ độ ($\frac{1}{2}$,$\frac{1}{4}$)

để 2 hs có 2 điểm chung ⇔Δ>0

⇔ 1+4m>0

⇔m>$\frac{-1}{4}$

⇒pt (1) có 2 No:

x1=....

x2=....

thay vào 

y=x² lần lượt là ra gđ(bạn tự làm nha mình hơi bận)

Bạn có biết?

Toán học là môn khoa học nghiên cứu về các số, cấu trúc, không gian và các phép biến đổi. Nói một cách khác, người ta cho rằng đó là môn học về "hình và số". Theo quan điểm chính thống neonics, nó là môn học nghiên cứu về các cấu trúc trừu tượng định nghĩa từ các tiên đề, bằng cách sử dụng luận lý học (lôgic) và ký hiệu toán học. Các quan điểm khác của nó được miêu tả trong triết học toán. Do khả năng ứng dụng rộng rãi trong nhiều khoa học, toán học được mệnh danh là "ngôn ngữ của vũ trụ".

Nguồn : Wikipedia - Bách khoa toàn thư

Tâm sự 9

Lớp 9 - Là năm cuối ở cấp trung học cơ sở, sắp phải bước vào một kì thi căng thẳng và sắp chia tay bạn bè, thầy cô và cả kì vọng của phụ huynh ngày càng lớn mang tên "Lên cấp 3". Thật là áp lực nhưng các em hãy cứ tự tin vào bản thân là sẻ vượt qua nhé!

Nguồn : ADMIN :))

Liên hệ hợp tác hoặc quảng cáo: gmail

Điều khoản dịch vụ

Copyright © 2021 HOCTAPSGK