Trang chủ Hóa Học Lớp 8 Bi Ze Hòa tan hoàn toàn 16 gam CuO vào...

Bi Ze Hòa tan hoàn toàn 16 gam CuO vào 125 gam dung dịch HC1 14,6%. Tính C% của dung dịch thu được San pham Bài 8: Đốt cháy hoàn toàn 11,9 gam hỗn hợp A gồ

Câu hỏi :

giúp em với mọi người

image

Lời giải 1 :

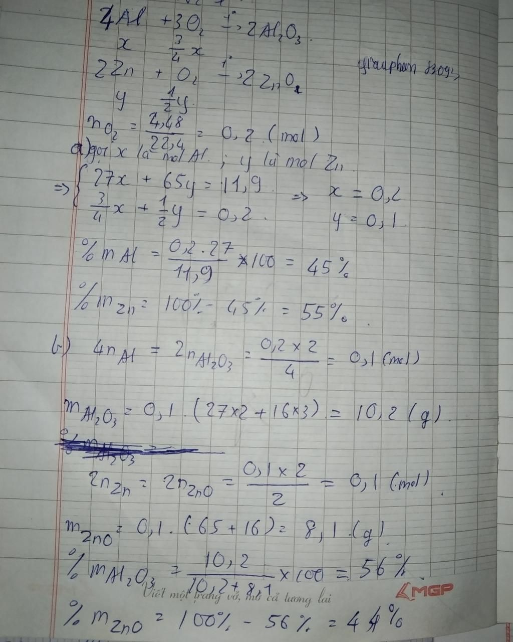
 `a)`

`4Al + 3O_2 → 2Al_2O_3` 

`x → 0,75x → 0,5x(mol)`

`2Zn + O_2 → 2ZnO`

`y → 0,5y → y(mol)`

`n_{Al} = x(mol); n_{Al} = y(mol)`

`27x + 65y = 11,9(g)(1)`

`22,4(0,75x + 0,5y ) = 4,48(l)(2)`

`(1)(2) →x = 0,2(mol); y = 0,1(mol)`

`%m_{Al}= {0,2.27}/{11,9} .100 = 45,4%`

`%m_{Zn} = 100 - 45,4 = 54,6%`

`b)`

Bảo toàn khối lượng: 

`m_{text{oxit}} = 11,9 +{4,48}/{22,4} .32 = 18,3(g)`

`%m_{Al_2O_3} = {0,2 . 0,5.102}/{18,3} = 55,74%`

`%m_{ZnO} = 100 - 55,74 = 44,26%`

`c)`

`1/2A: n_{Al} = 0,1(mol); n_{Zn} =0,05(mol)`

`2Al + 6HCl → 2AlCl_3 + 3H_2`

`Zn + 2HCl → ZnCl_2+ H_2` 

`n_{HCl} = 3 . 0,1 + 2 . 0, 05= 0,4(mol)`

`mdd_{HCl} = {0,4  . 36,5}/{14,6%} = 100(g)`

Thảo luận

Lời giải 2 :

Câu C ko đc

image

Bạn có biết?

Hóa học, một nhánh của khoa học tự nhiên, là ngành nghiên cứu về thành phần, cấu trúc, tính chất, và sự thay đổi của vật chất.Hóa học nói về các nguyên tố, hợp chất, nguyên tử, phân tử, và các phản ứng hóa học xảy ra giữa những thành phần đó.Hóa học đôi khi được gọi là "khoa học trung tâm" vì nó là cầu nối các ngành khoa học tự nhiên khác như vật lý học, địa chất học và sinh học.

Nguồn : Wikipedia - Bách khoa toàn thư

Tâm sự 8

Lớp 8 - Năm thứ ba ở cấp trung học cơ sở, học tập bắt đầu nặng dần, sang năm lại là năm cuối cấp áp lực lớn dần nhưng các em vẫn phải chú ý sức khỏe nhé!

Nguồn : ADMIN :))

Liên hệ hợp tác hoặc quảng cáo: gmail

Điều khoản dịch vụ

Copyright © 2021 HOCTAPSGK