Trang chủ Toán Học Lớp 6 Bài 5. Chứng tỏ rằng: a) a(b-c)+c(a-b) = b(a-c); b)...

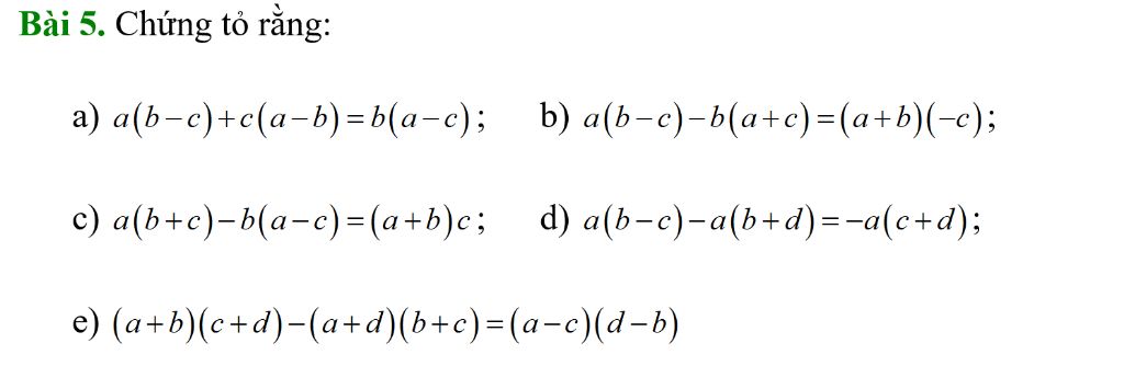
Bài 5. Chứng tỏ rằng: a) a(b-c)+c(a-b) = b(a-c); b) a(b-c)-b(a+c)=(a+b)(-c); c) a(b+c)-b(a-c)=(a+b)c; d) a(b-c)-a(b+d)=-a(c+d); e) (a+b)(c+d)-(a+d)(b+c)=(a

Câu hỏi :

Giúp mình với mai nộp rùi

image

Lời giải 1 :

a , a ( b - c ) + c ( a - b ) = b ( a - c )

Biến đổi vế trái ta có : a ( b - c ) + c ( a - b )

= ab - ac + ac - bc

= ab - bc

= b ( a - c )

b , a ( b - c ) - b ( a + c ) = ( a + b ) ( -c )

Biến đổi vế trái ta có : a ( b - c ) - b ( a + c )

= ab - ac - ab - bc

= - ac - bc

= ( a + b ) ( -c )

c , a ( b + c ) - b ( a - c ) = ( a + b ) c

Biến đổi vế trái ta có : a ( b + c ) - b ( a - c )

= ab + ac - ab + bc
= ac + bc

= ( a + b ) c

d , a ( b - c ) - a ( b + d ) = -a ( c + d )

Biến đổi vế trái ta có : a ( b - c ) - a ( b + d )

= ab - ac - ab - ad

= - ac - ad

= -a ( c + d )

e , ( a + b ) ( c + d ) - ( a + d ) ( b + c ) = ( a - c ) ( d - b )

Biến đổi vế trái ta có : ( a + b ) ( c + d ) - ( a + d ) ( b + c )

= ac + bc + ad + bd - ab - bd - ac - cd

= bc - ab + ad - cd

= b ( c - a ) - d ( c - a )

= ( c - a ) ( d - b )
chúc bạn học tốt !

 

Thảo luận

-- Hoan hô trg nhóm <333
-- cảm ơn cậu nhiều, nhưng giờ bạn trưởng nhóm cũ quay lại nên mình tạm thời ko làm trưởng nhóm nữa . Khi nào bạn ấy có việc bận thì mình lại tiếp tục quản nhóm nka .
-- Uk, thì ra trg nhóm cũ là bạn ParkChaeyoung , bây h mk mới bít:(
-- là nick phụ của trg nhóm cũ đấy
-- Uk ucii

Lời giải 2 :

 a) a(b-c)+c(a-b)=b(a-c)   <=> ab-ac+ac-cb=ab-ac   <=> ab-ac=ab-ac                                       

 b) a(b-c)-b(a+c)=(a+b)(-c) <=> ab-ac-ab-bc=-ca-bc  <=>   -ac-bc=-ca-bc

 c) a(b+c)-b(a-c)=(a+b)c   <=> ab+ac-ab+bc=ac+bc   <=>  ac+bc=ac+bc

 d) a(b-c)-a(b+d)=-a(c+d)   <=> ab-ac-ab-ad=-ac-ad  <=> -ac-ad=-ac-ad   

 e)  (a+b)(c+d)-(a+d)(b+c)=(a-c)(d-b) <=> ac+ad+bc+bd-ab-ac-db-cd=ad-ba-cd+cb 

       <=>   ad+bc-ab-cd=ad-ba-cd+cb

 Mong bạn vote 5 sao

Bạn có biết?

Toán học là môn khoa học nghiên cứu về các số, cấu trúc, không gian và các phép biến đổi. Nói một cách khác, người ta cho rằng đó là môn học về "hình và số". Theo quan điểm chính thống neonics, nó là môn học nghiên cứu về các cấu trúc trừu tượng định nghĩa từ các tiên đề, bằng cách sử dụng luận lý học (lôgic) và ký hiệu toán học. Các quan điểm khác của nó được miêu tả trong triết học toán. Do khả năng ứng dụng rộng rãi trong nhiều khoa học, toán học được mệnh danh là "ngôn ngữ của vũ trụ".

Nguồn : Wikipedia - Bách khoa toàn thư

Tâm sự 6

Lớp 6 - Là năm đầu tiên của cấp trung học cơ sở. Được sống lại những khỉ niệm như ngày nào còn lần đầu đến lớp 1, được quen bạn mới, ngôi trường mới, một tương lai mới!

Nguồn : ADMIN :))

Liên hệ hợp tác hoặc quảng cáo: gmail

Điều khoản dịch vụ

Copyright © 2021 HOCTAPSGK