Trang chủ Ngữ văn Lớp 6 Mn giúp mik nha... Tại mik còn 20 Điểm nên...

Mn giúp mik nha... Tại mik còn 20 Điểm nên ko thể đặt thêm câu hỏi. Với lại mik cần hỏi 2 môn lận nên mong mn đừng Báo vi phạm mik nha..làm ơn;

Câu hỏi :

Mn giúp mik nha... Tại mik còn 20 Điểm nên ko thể đặt thêm câu hỏi. Với lại mik cần hỏi 2 môn lận nên mong mn đừng Báo vi phạm mik nha..làm ơn

image

Lời giải 1 :

PHẦN TOÁN:

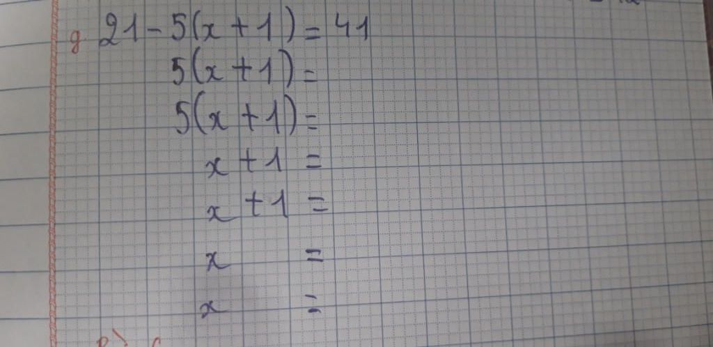
21 - 5( x +1 )=41

       5( x + 1 )= 21 - 41

       5( x + 1 )=     -20

           x + 1   = -20 : 5

           x  + 1  =   -4

           x          = -4 - 1

           x          =     -5

 vậy x = -5

PHẦN NGỮ VĂN:

Câu 3: B 

Câu 4: D

Câu 5: B 

#nocopy

@duongthingocanh166

Thảo luận

-- Cảm ơn bạn nhiều nhé
-- cho mik ctlhn nhé
-- ko sao, giúp đỡ bạn bè vs nhau thui mà

Bạn có biết?

Ngữ văn có nghĩa là: - Khoa học nghiên cứu một ngôn ngữ qua việc phân tích có phê phán những văn bản lưu truyền lại bằng thứ tiếng ấy.

Nguồn : TỪ ĐIỂN TIẾNG VIỆT

Tâm sự 6

Lớp 6 - Là năm đầu tiên của cấp trung học cơ sở. Được sống lại những khỉ niệm như ngày nào còn lần đầu đến lớp 1, được quen bạn mới, ngôi trường mới, một tương lai mới!

Nguồn : ADMIN :))

Liên hệ hợp tác hoặc quảng cáo: gmail

Điều khoản dịch vụ

Copyright © 2021 HOCTAPSGK