Trang chủ Toán Học Lớp 6 Bài 3. Vẽ hình theo cách diễn đạt bằng lời...

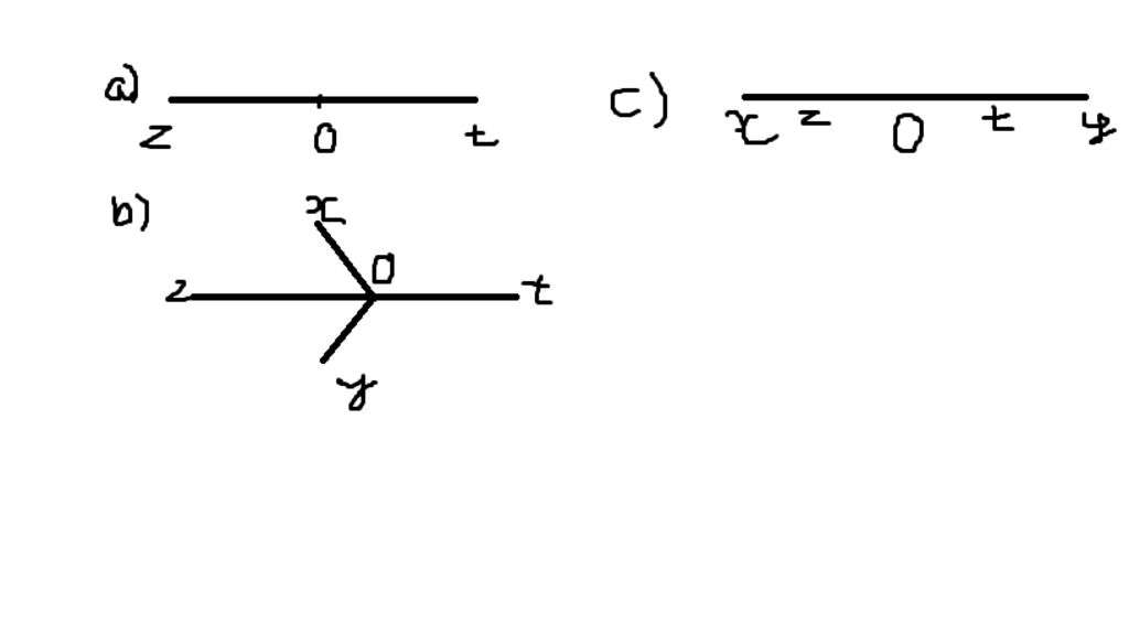
Bài 3. Vẽ hình theo cách diễn đạt bằng lời trong mỗi trường hợp sau đây: a) Vẽ góc bẹt zOt. b) Vẽ các góc xOy và yOt sao cho tia Ot nằm giữa hai tia Ox, Oy

Câu hỏi :

Lm sub e all nha, 60đ nak

image

Lời giải 1 :

Bài 4:

Ta có M nằm giữa A,B

⇒ tia OM nằm giữa tia OA,OB

⇒ M nằm trong góc AOB

Chúc bạn học tốt, có gì không hiểu thì hỏi mình nha.

 

image
image

Thảo luận

Lời giải 2 :

Đáp án:bài 3 4

 

Giải thích các bước giải:  

 4.

 -m nằm trong góc AOB vì m thuộc AB , o nằm ngoài đoan thẳng AB nên nối các đ̉iểm A ,B ,M với O lại với nhau nên ta đc tam giác AOB và tia OM nằm trong trong đó.

5 sao nha

image

Bạn có biết?

Toán học là môn khoa học nghiên cứu về các số, cấu trúc, không gian và các phép biến đổi. Nói một cách khác, người ta cho rằng đó là môn học về "hình và số". Theo quan điểm chính thống neonics, nó là môn học nghiên cứu về các cấu trúc trừu tượng định nghĩa từ các tiên đề, bằng cách sử dụng luận lý học (lôgic) và ký hiệu toán học. Các quan điểm khác của nó được miêu tả trong triết học toán. Do khả năng ứng dụng rộng rãi trong nhiều khoa học, toán học được mệnh danh là "ngôn ngữ của vũ trụ".

Nguồn : Wikipedia - Bách khoa toàn thư

Tâm sự 6

Lớp 6 - Là năm đầu tiên của cấp trung học cơ sở. Được sống lại những khỉ niệm như ngày nào còn lần đầu đến lớp 1, được quen bạn mới, ngôi trường mới, một tương lai mới!

Nguồn : ADMIN :))

Liên hệ hợp tác hoặc quảng cáo: gmail

Điều khoản dịch vụ

Copyright © 2021 HOCTAPSGK