Trang chủ Toán Học Lớp 8 Câu tuên php th 2:Thuc C+2 X-1 c²-X. - câu...

Câu tuên php th 2:Thuc C+2 X-1 c²-X. - câu hỏi 1549495

Câu hỏi :

Giúp em câu 2 với ạ em đang gấp

image

Lời giải 1 :

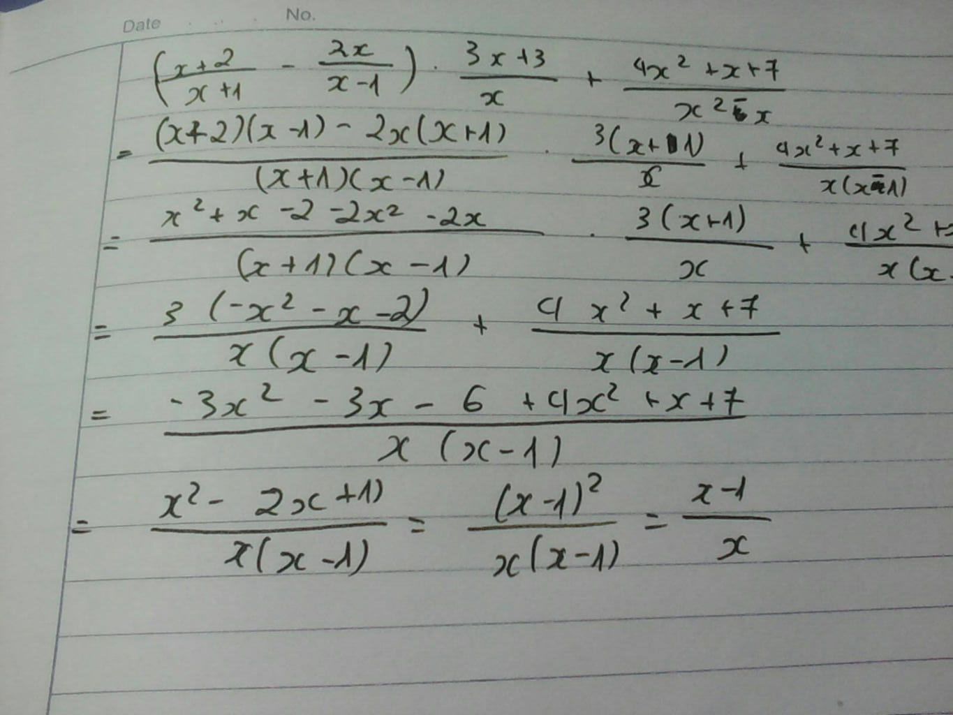
Đặt `A=({x+2}/{x+1}-{2x}/{x-1}). {3x+3}/x + {4x^2+x+7}/{x^2-x}` $(x\ne 0; x\ne ±1)$

`A={(x+2)(x-1)-2x(x+1)}/{(x+1)(x-1)} . {3(x+1)}/x + {4x^2+x+7}/{x(x-1)}`

`A={3(x^2-x+2x-2-2x^2-2x)}/{x(x-1)}+{4x^2+x+7}/{x(x-1)}`

`A={3(-x^2-x-2)+4x^2+x+7}/{x(x-1)}`

`A={-3x^2-3x-6+4x^2+x+7}/{x(x-1)}`

`A={x^2-2x+1}/{x(x-1)}={(x-1)^2}/{x(x-1)}`

`A={x-1}/x`

Thảo luận

-- Nếu đã là trung điểm thì suy ra đc thẳng hàng (Nhưng thường mình ít thấy chưa thẳng hàng mà đã c/m đc là trung điểm) Bạn cho đề bài cụ thể mình xem thử nhé
-- Có bài như thế á mà lâu rồi , mình chứng minh nó là trung điểm đc nhưng thầy mình bảo đó chưa đủ . Bởi vì thầy mình bảo đó có thể là đg gấp khúc
-- Nếu bạn chỉ c/m đc CA=CB thì C chưa phải là trung điểm
-- Phải thêm 3 điểm thẳng hàng
-- Hoặc: `CA=CB=1/ 2 AB` thì ko cần thẳng hàng
-- Có thể bạn chỉ c/m đc 1 ý nên chưa đủ đk
-- Mình hiểu r . Cảm ơn bạn nha
-- Ko có gì nhé

Lời giải 2 :

=))

 

image

Bạn có biết?

Toán học là môn khoa học nghiên cứu về các số, cấu trúc, không gian và các phép biến đổi. Nói một cách khác, người ta cho rằng đó là môn học về "hình và số". Theo quan điểm chính thống neonics, nó là môn học nghiên cứu về các cấu trúc trừu tượng định nghĩa từ các tiên đề, bằng cách sử dụng luận lý học (lôgic) và ký hiệu toán học. Các quan điểm khác của nó được miêu tả trong triết học toán. Do khả năng ứng dụng rộng rãi trong nhiều khoa học, toán học được mệnh danh là "ngôn ngữ của vũ trụ".

Nguồn : Wikipedia - Bách khoa toàn thư

Tâm sự 8

Lớp 8 - Năm thứ ba ở cấp trung học cơ sở, học tập bắt đầu nặng dần, sang năm lại là năm cuối cấp áp lực lớn dần nhưng các em vẫn phải chú ý sức khỏe nhé!

Nguồn : ADMIN :))

Liên hệ hợp tác hoặc quảng cáo: gmail

Điều khoản dịch vụ

Copyright © 2021 HOCTAPSGK