Trang chủ Toán Học Lớp 8 メ+3ー (x-4)(x-2)'x-4 2-x x-1 d) 3x -|2x – 5| =...

メ+3ー (x-4)(x-2)'x-4 2-x x-1 d) 3x -|2x – 5| = 10

Câu hỏi :

mng giúp mình vs ạ! cảm ơn mng nhiều:)

image

Lời giải 1 :

Giải thích các bước giải:

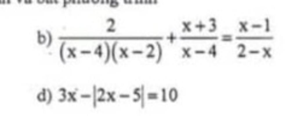
`b)` `2/[(x - 4)(x - 2)] + (x + 3)/(x - 4) = (x - 1)/(2 - x)` ĐKXĐ: `x \ne 4; x \ne 2`

`<=> 2/[(x - 4)(x - 2)] + [(x + 3)(x - 2)]/[(x - 4)(x - 2)] = [(1 - x)(x - 4)]/[(x - 4)(x - 2)]`

`<=> 2 + x^2 - 2x + 3x - 6 = x - 4 - x^2 + 4x`

`<=> 2x^2 + x - 4 = 5x - 4`

`<=> 2x^2 - 4x = 0`

`<=> 2x(x - 2) = 0`

$⇔\left[\begin{matrix} 2x = 0\\ x-2 = 0\end{matrix}\right.⇔\left[\begin{matrix} x =0 \text{(thỏa mãn)} \\ x= 2 \text{(loại)} \end{matrix}\right.$ 

Vậy `S = {0}`

`d) 3x - |2x - 5| = 10`

`<=> |2x - 5| = 3x - 10`

$⇔\left[\begin{matrix} 2x - 5 = 3x - 10 \ \text{ĐK:} x \ge \dfrac{5}{2}\\ 2x - 5 = 10 - 3x \ \text{ĐK:} x \le \dfrac{5}{2}\end{matrix}\right.$

$⇔\left[\begin{matrix} 2x - 3x = 5 - 10\\ 2x + 3x = 10 + 5\end{matrix}\right.$

$⇔\left[\begin{matrix} -x = -5\\ 5x = 15\end{matrix}\right.$

$⇔\left[\begin{matrix} x = 5 \text{(thỏa mãn)} \\ x = 3 \text{(loại)}\end{matrix}\right.$

Vậy `S = {5}`

Thảo luận

-- Chả lẽ sai . Nói hay
-- Mod ơi phần d vẫn sai nha
-- Bạn @djsubin tôn trọng người trl đi ạ Người ta sai thì nhắc chứ làm gì mà cáu thế ạ ?
-- Ừ thì tôi đang nhắc mod phần d của ẻm vẫn sai
-- Người ta sai thì nhắc thế sao có mod thấy bài sai chx nhắc lỗi sai đã xoá là sao ?????
-- Bạn nên hiểu tùy mod chứ không mod nào như mod nào Với thái độ của bạn thì chắc các mod sẽ xóa rồi, bạn không tôn trọng người ta lấy gì người ta tôn trọng bạn
-- Người ta sai thì nhắc thế sao có mod thấy bài sai chx nhắc lỗi sai đã xoá là sao ????? `=>` Tùy lỗi sai thôi bạn.
-- Bài dưới sai kìa xoá đi

Lời giải 2 :

Mong cho lời giải hay nhất ❤️⭐️

image
image

Bạn có biết?

Toán học là môn khoa học nghiên cứu về các số, cấu trúc, không gian và các phép biến đổi. Nói một cách khác, người ta cho rằng đó là môn học về "hình và số". Theo quan điểm chính thống neonics, nó là môn học nghiên cứu về các cấu trúc trừu tượng định nghĩa từ các tiên đề, bằng cách sử dụng luận lý học (lôgic) và ký hiệu toán học. Các quan điểm khác của nó được miêu tả trong triết học toán. Do khả năng ứng dụng rộng rãi trong nhiều khoa học, toán học được mệnh danh là "ngôn ngữ của vũ trụ".

Nguồn : Wikipedia - Bách khoa toàn thư

Tâm sự 8

Lớp 8 - Năm thứ ba ở cấp trung học cơ sở, học tập bắt đầu nặng dần, sang năm lại là năm cuối cấp áp lực lớn dần nhưng các em vẫn phải chú ý sức khỏe nhé!

Nguồn : ADMIN :))

Liên hệ hợp tác hoặc quảng cáo: gmail

Điều khoản dịch vụ

Copyright © 2021 HOCTAPSGK