Trang chủ Vật Lý Lớp 10 Một người dùng dây kéo một vật có khối lượng...

Một người dùng dây kéo một vật có khối lượng m = 100(Kg) trên sàn nằm ngang. Dây kéo nghiêng một góc 30 độ so với phương ngang. Biết vật bắt đầu trượt từ trạng

Câu hỏi :

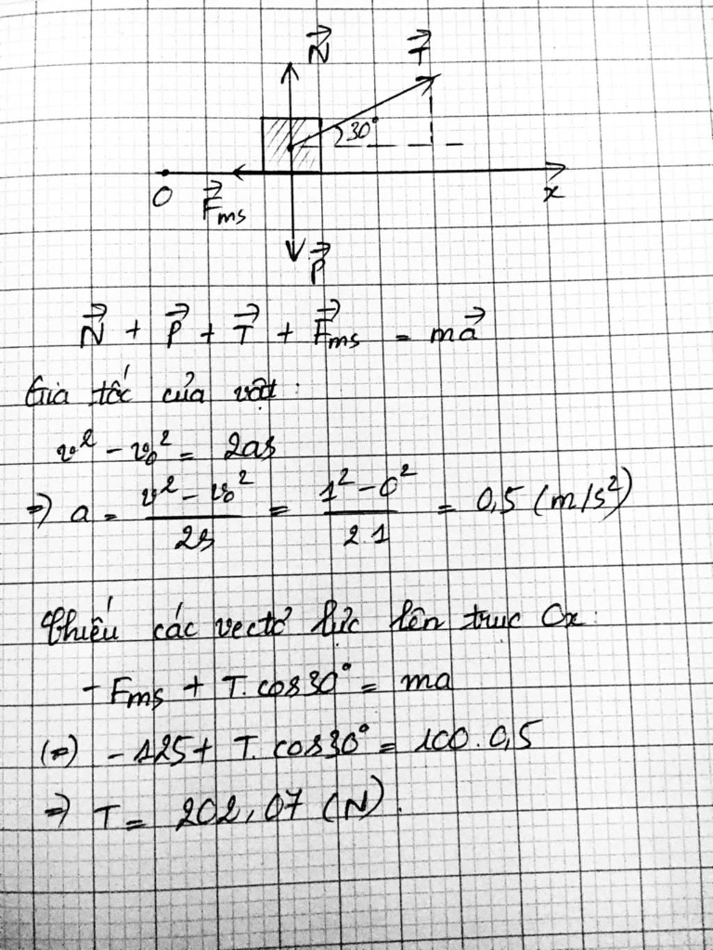
Một người dùng dây kéo một vật có khối lượng m = 100(Kg) trên sàn nằm ngang. Dây kéo nghiêng một góc 30 độ so với phương ngang. Biết vật bắt đầu trượt từ trạng thái nghỉ, chuyển động nhanh dần đều và đạt vận tốc 1(m/s) khi đi được 1(m). Lực ma sát của sàn lên vật khi vật trượt có độ lớn 125(N). Tính lực căng của dây khi vật trượt

Lời giải 1 :

[Hình ảnh]

 

image

Thảo luận

-- Cho em hỏi sao lại là Cos30 vậy ạ?

Lời giải 2 :

Đáp án:202N

 

Giải thích các bước giải:

 

image

Bạn có biết?

Vật lý học (tiếng Anh:physics, từ tiếng Hi Lạp cổ: φύσις có nghĩa là kiến thức về tự nhiên) là một môn khoa học tự nhiên tập trung vào sự nghiên cứu vật chất và chuyển động của nó trong không gian và thời gian, cùng với những khái niệm liên quan như năng lượng và lực.Vật lí học là một trong những bộ môn khoa học lâu đời nhất, với mục đích tìm hiểu sự vận động của vũ trụ.

Nguồn : Wikipedia - Bách khoa toàn thư

Tâm sự 10

Lớp 10 - Năm thứ nhất ở cấp trung học phổ thông, năm đầu tiên nên có nhiều bạn bè mới đến từ những nơi xa hơn vì ngôi trường mới lại mỗi lúc lại xa nhà mình hơn. Được biết bên ngoài kia là một thế giới mới to và nhiều điều thú vị, một trang mới đang chò đợi chúng ta.

Nguồn : ADMIN :))

Liên hệ hợp tác hoặc quảng cáo: gmail

Điều khoản dịch vụ

Copyright © 2021 HOCTAPSGK