Trang chủ Hóa Học Lớp 8 b. Tở công thức hóa học canxi cacbonat CaCO, emn...

b. Tở công thức hóa học canxi cacbonat CaCO, emn viks duge vavng (1 diểm) Câu 5: (1 điểm) Một số công thức hóa học viết như sau: NaO, MgCle, VeOH, Hay sian

Câu hỏi :

Giải giúp mình câu 7 với

image

Lời giải 1 :

                          ` \text{ FALL IN LOVE }`

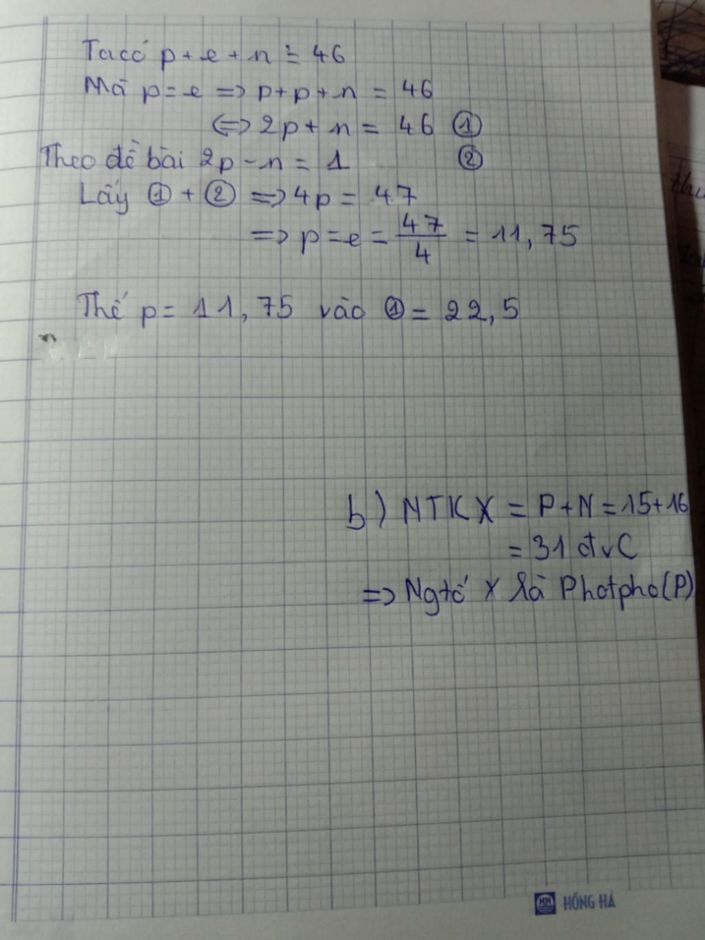
Gọi số hạt trong X là `P` và `N` 

ta có :` P = E`

ta có hệ `pt :` $\left \{ {{2P + N = 46} \atop {N = P + 1}} \right.$ 

giải ra ta được : $\left \{ {{P = 15} \atop {N = 16}} \right.$ 

a) `P = E = 15` hạt 

  `N = 16` hạt

b) `NTK_X = P + N = 15 + 16 = 31 ( đvC )`

=> Nguyên tố `X` là Photpho ( `P` )

Thảo luận

-- Tìm nguyên tố X nữa
-- rồi nha bn

Lời giải 2 :

Đáp án:

 

Giải thích các bước giải:

 Mình biết có câu A hà 

image

Bạn có biết?

Hóa học, một nhánh của khoa học tự nhiên, là ngành nghiên cứu về thành phần, cấu trúc, tính chất, và sự thay đổi của vật chất.Hóa học nói về các nguyên tố, hợp chất, nguyên tử, phân tử, và các phản ứng hóa học xảy ra giữa những thành phần đó.Hóa học đôi khi được gọi là "khoa học trung tâm" vì nó là cầu nối các ngành khoa học tự nhiên khác như vật lý học, địa chất học và sinh học.

Nguồn : Wikipedia - Bách khoa toàn thư

Tâm sự 8

Lớp 8 - Năm thứ ba ở cấp trung học cơ sở, học tập bắt đầu nặng dần, sang năm lại là năm cuối cấp áp lực lớn dần nhưng các em vẫn phải chú ý sức khỏe nhé!

Nguồn : ADMIN :))

Liên hệ hợp tác hoặc quảng cáo: gmail

Điều khoản dịch vụ

Copyright © 2021 HOCTAPSGK