Trang chủ Hóa Học Lớp 8 Câu 5: Đốt cháy hoàn toàn 3,1 gam Phosphorus trong...

Câu 5: Đốt cháy hoàn toàn 3,1 gam Phosphorus trong khí oxygen thu đưoc diphosphorus pentoxide P2O5. a) Viết phương trình hóa học b) Tính khối lượng chất si

Câu hỏi :

giúp với hứa đánh giá 5 * nè cảm ơn

image

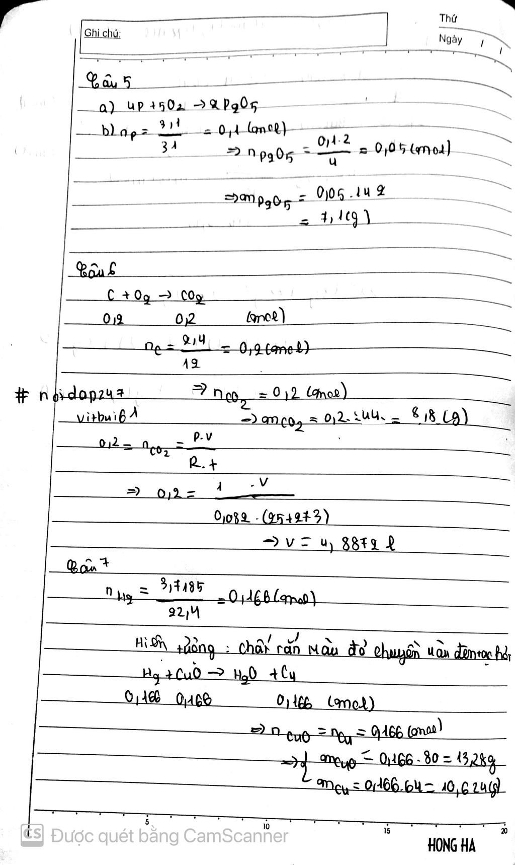
Lời giải 1 :

Đáp án:

 

Giải thích các bước giải:

 

image

Thảo luận

-- Halou, xin lỗi đã làm phiền, bạn có muốn vào nhóm mik không ạ?
-- ko bạn

Lời giải 2 :

Đáp án + Giải thích các bước giải:

Câu 5:

$a\big)4P+5O_2\xrightarrow{t^o}2P_2O_5$

$b\big)$

$n_P=\frac{3,1}{31}=0,1(mol)$

Theo PT: $n_{P_2O_5}=\frac{1}{2}n_P=0,05(mol)$

$\to m_{P_2O_5}=0,05\times 142=7,1(g)$

Câu 6:

$n_C=\frac{2,4}{12}=0,2(mol)$

$C+O_2\xrightarrow{t^o}CO_2$

Theo PT: $n_{CO_2}=n_C=0,2(mol)$

$\to V_{CO_2(25^oC,1\,bar)}=0,2\times 24,79=4,958(l)$

$\to m_{CO_2}=0,2\times 44=8,8(g)$

Câu 7:

$\bullet$  Hiện tượng: chất rắn màu đen trong ống nghiệm chuyển thành màu đỏ

$n_{H_2}=\frac{3,7185}{24,79}=0,15(mol)$

$CuO+H_2\xrightarrow{t^o}Cu+H_2O$

Theo PT: $n_{CuO}=n_{Cu}=n_{H_2}=0,15(mol)$

$\to m_{CuO}=0,15\times 80=12(g)$

$\to m_{Cu}=0,15\times 64=9,6(g)$

Bạn có biết?

Hóa học, một nhánh của khoa học tự nhiên, là ngành nghiên cứu về thành phần, cấu trúc, tính chất, và sự thay đổi của vật chất.Hóa học nói về các nguyên tố, hợp chất, nguyên tử, phân tử, và các phản ứng hóa học xảy ra giữa những thành phần đó.Hóa học đôi khi được gọi là "khoa học trung tâm" vì nó là cầu nối các ngành khoa học tự nhiên khác như vật lý học, địa chất học và sinh học.

Nguồn : Wikipedia - Bách khoa toàn thư

Tâm sự 8

Lớp 8 - Năm thứ ba ở cấp trung học cơ sở, học tập bắt đầu nặng dần, sang năm lại là năm cuối cấp áp lực lớn dần nhưng các em vẫn phải chú ý sức khỏe nhé!

Nguồn : ADMIN :))

Liên hệ hợp tác hoặc quảng cáo: gmail

Điều khoản dịch vụ

Copyright © 2021 HOCTAPSGK