Trang chủ Hóa Học Lớp 11 Câu hỏi môn Hóa học Cho 8 gam Fe2(SO4)3 vào...

Câu hỏi môn Hóa học Cho 8 gam Fe2(SO4)3 vào 1 lít dd NaOH a (M) khuấy kỹ để phản ứng xảy ra hoàn toàn, tiếp tục thêm vào 13,68 gam Al2(SO4)3 rồi lại khuấy như

Câu hỏi :

Câu hỏi môn Hóa học Cho 8 gam Fe2(SO4)3 vào 1 lít dd NaOH a (M) khuấy kỹ để phản ứng xảy ra hoàn toàn, tiếp tục thêm vào 13,68 gam Al2(SO4)3 rồi lại khuấy như trước đó. Cuối cùng thu được 1,56 gam kết tủa keo trắng ( ko tính kết tủa khác nếu có). Xác định giá trị của a?

Lời giải 1 :

$n_{NaOH}=a$

$n_{Fe_2(SO_4)_3}=\dfrac{8}{400}=0,02 mol$ 

- TN1: dư $NaOH$

$Fe_2(SO_4)_3+6NaOH\to 2Fe(OH)_3+3Na_2SO_4$

$\Rightarrow n_{NaOH\text{dư}}= a-0,02.6=a-0,12(mol)$

$n_{Al_2(SO_4)_3}=0,04 mol$

$n_{Al(OH)_3}=0,02 mol< 2n_{Al_2(SO_4)_3}$

+ TH1: TN2 dư $Al^{3+}$

$Al_2(SO_4)_3+6NaOH\to 2Al(OH)_3+3Na_2SO_4$

$\Rightarrow a-0,12=0,02.3=0,06$

$\Leftrightarrow a=0,18M$

+ TH2: TN2 dư $OH^-$ 

$Al_2(SO_4)_3+6NaOH\to 2Al(OH)_3+3Na_2SO_4$  (1)

$n_{NaOH(1)}= 0,04.6=0,24 (mol), n_{Al(OH)_3(1)}=0,04.2=0,08 (mol)$

$\Rightarrow n_{Al(OH)_3(2)}=0,08-0,02=0,06 mol$

$Al(OH)_3+NaOH\to NaAlO_2+2H_2O$ (2)

$\Rightarrow n_{NaOH(2)}=0,06 mol$

$\Rightarrow a-0,12=0,06+0,24$

$\Leftrightarrow a=0,42M$

Thảo luận

-- https://hoidap247.com/cau-hoi/1034166
-- block chat dùm e ạ
-- Có mod tắt rồi 💩
-- dạ

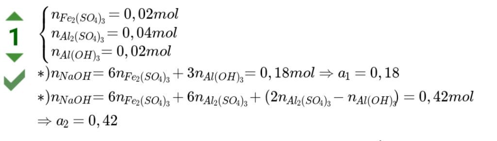
Lời giải 2 :

Đáp án:

 

Giải thích các bước giải:

 

image

Bạn có biết?

Hóa học, một nhánh của khoa học tự nhiên, là ngành nghiên cứu về thành phần, cấu trúc, tính chất, và sự thay đổi của vật chất.Hóa học nói về các nguyên tố, hợp chất, nguyên tử, phân tử, và các phản ứng hóa học xảy ra giữa những thành phần đó.Hóa học đôi khi được gọi là "khoa học trung tâm" vì nó là cầu nối các ngành khoa học tự nhiên khác như vật lý học, địa chất học và sinh học.

Nguồn : Wikipedia - Bách khoa toàn thư

Tâm sự 11

Lớp 11 - Năm thứ hai ở cấp trung học phổ thông, gần đến năm cuối cấp nên học tập là nhiệm vụ quan trọng nhất. Nghe nhiều đến định hướng sau này rồi học đại học. Ôi nhiều lúc thật là sợ, hoang mang nhưng các em hãy tự tin và tìm dần điều mà mình muốn là trong tương lai nhé!

Nguồn : ADMIN :))

Liên hệ hợp tác hoặc quảng cáo: gmail

Điều khoản dịch vụ

Copyright © 2021 HOCTAPSGK