Trang chủ Toán Học Lớp 9 Câu 1 :Với giá trị nào của tham số m...

Câu 1 :Với giá trị nào của tham số m thì phương trình 2(x-m)+3m=3 nhận x=-1 làm nghiệm A) m=1 B)m=7/2 C) m=5 D) m=-5 Câu 2: tuổi ông năm nay gấp 5 lần tuổi

Câu hỏi :

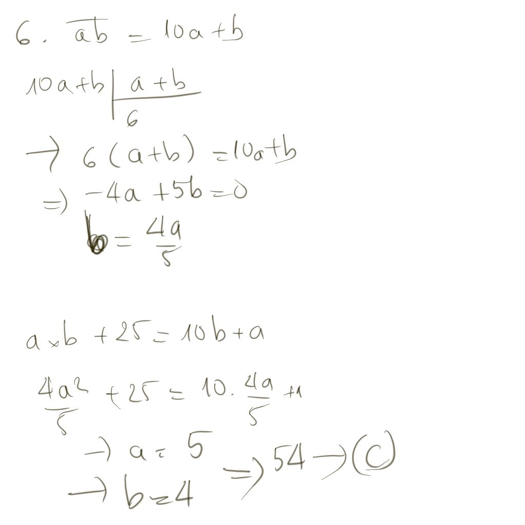
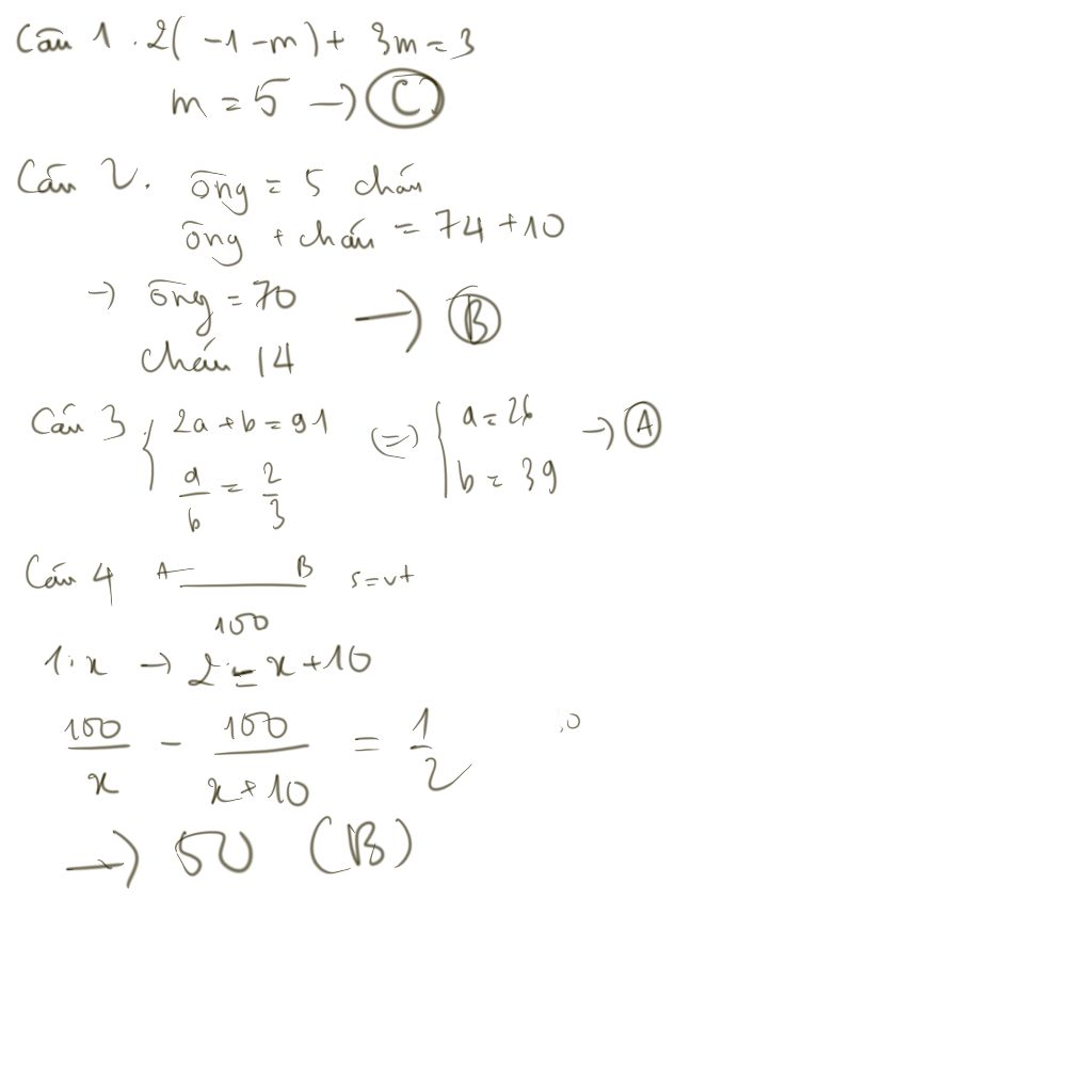
Câu 1 :Với giá trị nào của tham số m thì phương trình 2(x-m)+3m=3 nhận x=-1 làm nghiệm A) m=1 B)m=7/2 C) m=5 D) m=-5 Câu 2: tuổi ông năm nay gấp 5 lần tuổi cháu .Biết rằng năm năm trc tổng số tuổi của 2 ông cháu là 74 tuổi .Tuổi ông và tuổi cháu năm nay là ? A) 65 và 13 tuổi B) 70 và 14 tuổi C) 75 và 15 tuổi D) 60 và 12 tuổi Câu 3: Tìm 2 số tự nhiên biết 2a+b =91 và a/b =2/3 A) (a:b)=(26;39) B)(a;b)=(24;41) C)(a;b)=(21;50) D) tất cả đều sai Câu 4: Quảng đường AB dài100km . Hai xe máy khởi hành cùng lúc từ A đến B , xe máy thứ nhất chạy chậm hơn xe máy thứ hai 10km/h nên đến sau xe máy thứ hai 30p . Vận tốc xe máy thứ hai là ? A) 40km/h B)50km/h C)60km/h D)70km/h Câu 5: Bạn tuấn gửi tiền tiết kiệm vào ngân hàng số tiền tiết kiệm đc là 100tr với lãi suất 6,5% mỗi năm theo hình thức lãi đơn . Số tiền bình nhận đc sau 3 năm là ? A)119,5tr B. 120 tr C. 120,5tr D. 121tr Câu 6: 1 số tự nhiên có 2 chữ số , nếu chia các số đó cho tổng các chữ số của nó thì đc thương là 6,cộng tích của nó với 25 được số viết theo thứ tự ngược lại đã cho . HỎI số đó chia hết cho số nào ? A. 7 B. 8 C. 9 D. 10

Lời giải 1 :

Đáp án:

 

Giải thích các bước giải:

 Câu 5 quên cách giải :v:v 

image
image

Thảo luận

Bạn có biết?

Toán học là môn khoa học nghiên cứu về các số, cấu trúc, không gian và các phép biến đổi. Nói một cách khác, người ta cho rằng đó là môn học về "hình và số". Theo quan điểm chính thống neonics, nó là môn học nghiên cứu về các cấu trúc trừu tượng định nghĩa từ các tiên đề, bằng cách sử dụng luận lý học (lôgic) và ký hiệu toán học. Các quan điểm khác của nó được miêu tả trong triết học toán. Do khả năng ứng dụng rộng rãi trong nhiều khoa học, toán học được mệnh danh là "ngôn ngữ của vũ trụ".

Nguồn : Wikipedia - Bách khoa toàn thư

Tâm sự 9

Lớp 9 - Là năm cuối ở cấp trung học cơ sở, sắp phải bước vào một kì thi căng thẳng và sắp chia tay bạn bè, thầy cô và cả kì vọng của phụ huynh ngày càng lớn mang tên "Lên cấp 3". Thật là áp lực nhưng các em hãy cứ tự tin vào bản thân là sẻ vượt qua nhé!

Nguồn : ADMIN :))

Liên hệ hợp tác hoặc quảng cáo: gmail

Điều khoản dịch vụ

Copyright © 2021 HOCTAPSGK