Trang chủ Toán Học Lớp 6 Cho 2 góc kề nhau aSb và bSc. Giải thích...

Cho 2 góc kề nhau aSb và bSc. Giải thích vì sao: a, Nếu góc aSb+ góc bSc ≤180 $180^{o}$ thì góc aSc= góc aSb+ góc bSc b,Nếu góc aSb+ góc bSc > $180^{o}$ t

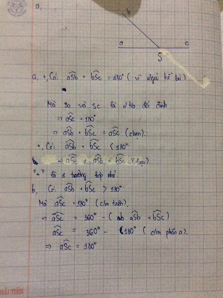
Câu hỏi :

Cho 2 góc kề nhau aSb và bSc. Giải thích vì sao: a, Nếu góc aSb+ góc bSc ≤180 $180^{o}$ thì góc aSc= góc aSb+ góc bSc b,Nếu góc aSb+ góc bSc > $180^{o}$ thì góc aSc = $360^{o}$ -(góc aSb+ góc bSc) mik không biết viết kí hiệu góc các bạn thông cảm

Lời giải 1 :

Đáp án:

 Vote cho mk để lấy thêm động lực phá cẩu lương nha :>>

Giải thích các bước giải:

 

image

Thảo luận

-- aSb và bSc là 2 góc kề nhau mà
-- Kề nhau ko phải = 180 độ à. ==
-- E chưa học à
-- nhỏ hơn hoặc bằng 180 độ chứ
-- Cj xét 2 trường hợp và đã ghi rõ trong bài r
-- Đọc kỹ bài nhé , chứ ko phải chép đâu e
-- em là h/s ngoan ko chép đâu
-- Ukm ^^

Bạn có biết?

Toán học là môn khoa học nghiên cứu về các số, cấu trúc, không gian và các phép biến đổi. Nói một cách khác, người ta cho rằng đó là môn học về "hình và số". Theo quan điểm chính thống neonics, nó là môn học nghiên cứu về các cấu trúc trừu tượng định nghĩa từ các tiên đề, bằng cách sử dụng luận lý học (lôgic) và ký hiệu toán học. Các quan điểm khác của nó được miêu tả trong triết học toán. Do khả năng ứng dụng rộng rãi trong nhiều khoa học, toán học được mệnh danh là "ngôn ngữ của vũ trụ".

Nguồn : Wikipedia - Bách khoa toàn thư

Tâm sự 6

Lớp 6 - Là năm đầu tiên của cấp trung học cơ sở. Được sống lại những khỉ niệm như ngày nào còn lần đầu đến lớp 1, được quen bạn mới, ngôi trường mới, một tương lai mới!

Nguồn : ADMIN :))

Liên hệ hợp tác hoặc quảng cáo: gmail

Điều khoản dịch vụ

Copyright © 2021 HOCTAPSGK