Trang chủ Toán Học Lớp 6 Thực hiện các phép tính sau (tính a) 18.7+65:13 c)...

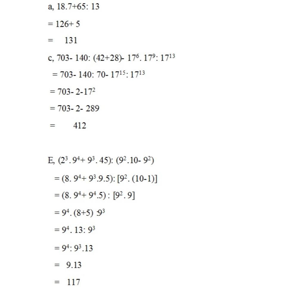
Thực hiện các phép tính sau (tính a) 18.7+65:13 c) 703–140:(42+ 28) – 17° -17° :173 e) (2* -9* +9³ . 45):(9² -10–9²)

Câu hỏi :

tính hợp lí nếu có thể nhé chi tiết nhen

image

Lời giải 1 :

Đáp án:

 

Giải thích các bước giải:

                                                   MÌNH GỬI BẠN Ạ!!!!!
                                     CÒN GÌ THẮC MẮC CỨ HỎI MÌNH NHA!!!!
                                              XIN CÂU TRẢ LỜI HAY NHẤT Ạ!!!!
                                                     CHÚC BẠN HỌC TỐT!!!!

image

Thảo luận

-- chx có ai tl nx nên mk chx cho hay nhất đc
-- uk

Bạn có biết?

Toán học là môn khoa học nghiên cứu về các số, cấu trúc, không gian và các phép biến đổi. Nói một cách khác, người ta cho rằng đó là môn học về "hình và số". Theo quan điểm chính thống neonics, nó là môn học nghiên cứu về các cấu trúc trừu tượng định nghĩa từ các tiên đề, bằng cách sử dụng luận lý học (lôgic) và ký hiệu toán học. Các quan điểm khác của nó được miêu tả trong triết học toán. Do khả năng ứng dụng rộng rãi trong nhiều khoa học, toán học được mệnh danh là "ngôn ngữ của vũ trụ".

Nguồn : Wikipedia - Bách khoa toàn thư

Tâm sự 6

Lớp 6 - Là năm đầu tiên của cấp trung học cơ sở. Được sống lại những khỉ niệm như ngày nào còn lần đầu đến lớp 1, được quen bạn mới, ngôi trường mới, một tương lai mới!

Nguồn : ADMIN :))

Liên hệ hợp tác hoặc quảng cáo: gmail

Điều khoản dịch vụ

Copyright © 2021 HOCTAPSGK