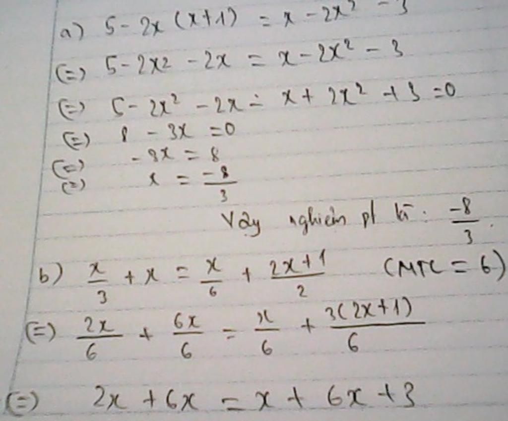
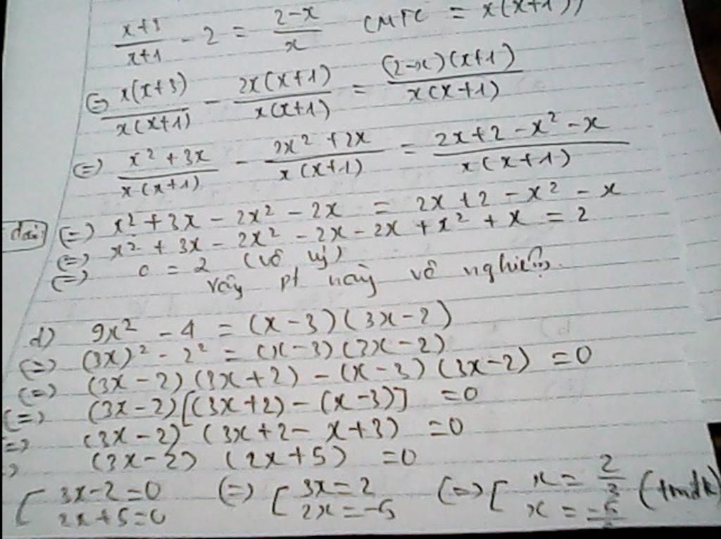
Trang chủ Toán Học Lớp 8 Sa Fan Fhol 4)5-2(x11)=X-2X'-3|e) 2X-1 +1= X-1 りLャス=ズッ2X+ 2: 2-2...

Sa Fan Fhol 4)5-2(x11)=X-2X'-3|e) 2X-1 +1= X-1 りLャス=ズッ2X+ 2: 2-2 6 X+3 _2=

Câu hỏi :

giúp aaaaaaaaaaaaaaaaaaaaaa

image

Lời giải 1 :

Đáp án:  trong ảnh nếu chx rõ có thể hỏi lại mk

Giải thích các bước giải:  trong ảnh nếu chx rõ có thể hỏi lại mk

bạn nên chia nhỏ số lượng câu hỏi chứ làm ra thì hơi dài ạ 

nếu câu nào chx hỉu thì hỏi lại mk

Cảm ơn Bạn đã kiên trì chờ mk nha !!

 

image
image
image
image

Thảo luận

-- tại vì nhìn thấy số điểm cao mà mình cx hok lớp 8 nên vừa làm vừa hểu chứ có j đou :)
-- là sao 3, ko hiểu
-- nói chung là vì 60 điểm đó b làm vì điểm mà
-- chú lớp mấy r
-- thấy cách làm giống cấp 2
-- đoán xem :))
-- cấp 3 hay j
-- uhm...Cấp 2 đó ạ

Bạn có biết?

Toán học là môn khoa học nghiên cứu về các số, cấu trúc, không gian và các phép biến đổi. Nói một cách khác, người ta cho rằng đó là môn học về "hình và số". Theo quan điểm chính thống neonics, nó là môn học nghiên cứu về các cấu trúc trừu tượng định nghĩa từ các tiên đề, bằng cách sử dụng luận lý học (lôgic) và ký hiệu toán học. Các quan điểm khác của nó được miêu tả trong triết học toán. Do khả năng ứng dụng rộng rãi trong nhiều khoa học, toán học được mệnh danh là "ngôn ngữ của vũ trụ".

Nguồn : Wikipedia - Bách khoa toàn thư

Tâm sự 8

Lớp 8 - Năm thứ ba ở cấp trung học cơ sở, học tập bắt đầu nặng dần, sang năm lại là năm cuối cấp áp lực lớn dần nhưng các em vẫn phải chú ý sức khỏe nhé!

Nguồn : ADMIN :))

Liên hệ hợp tác hoặc quảng cáo: gmail

Điều khoản dịch vụ

Copyright © 2021 HOCTAPSGK