Trang chủ Vật Lý Lớp 10 Khi có hai vec tơ lực F và F, đồng...

Khi có hai vec tơ lực F và F, đồng quy, tạo thành hai cạnh của một hình bình hành thì vectơ tổng hợp lực F có th A. có điểm đặt tại 1 đỉnh bất kỳ của hình

Câu hỏi :

helpppppppppppppppppp

image

Khi có hai vec tơ lực F và F, đồng quy, tạo thành hai cạnh của một hình bình hành thì vectơ tổng hợp lực F có th A. có điểm đặt tại 1 đỉnh bất kỳ của hình

Lời giải 1 :

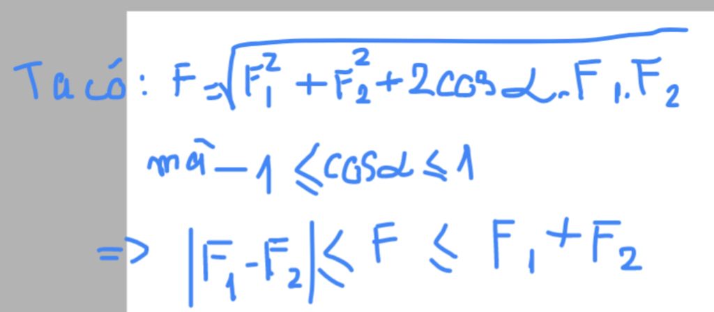
Câu đầu là B còn câu sau là C nhé bn
Mình có giải thích câu 2 ở ảnh dưới đó nhé.

Nhớ vote 5* cho mik nhé =)))

image

Lời giải 2 :

Câu 1: B

Véc tơ tổng hợp có phương trùng với đường chéo của hình bình hành.

Câu 2: C

Độ lớn của lực tổng hợp không thể lớn hơn tổng độ lớn của 2 lực thành phần.

Bạn có biết?

Vật lý học là môn khoa học tự nhiên tập trung vào sự nghiên cứu vật chất và chuyển động của nó trong không gian và thời gian, cùng với những khái niệm liên quan như năng lượng và lực. Vật lý học là một trong những bộ môn khoa học lâu đời nhất, với mục đích tìm hiểu sự vận động của vũ trụ. Hãy khám phá và hiểu rõ những quy luật tự nhiên xung quanh chúng ta!

Nguồn :

Wikipedia - Bách khoa toàn thư

Tâm sự lớp 10

Lớp 10 - Năm đầu tiên ở cấp trung học phổ thông, chúng ta sẽ có nhiều bạn bè mới đến từ những nơi khác nhau. Ngôi trường mới, xa nhà hơn, mở ra một thế giới mới với nhiều điều thú vị. Hãy mở lòng đón nhận và tận hưởng những trải nghiệm mới!

Nguồn :

sưu tập

Liên hệ hợp tác hoặc quảng cáo: gmail

Điều khoản dịch vụ

Copyright © 2021 HOCTAPSGK