Trang chủ Vật Lý Lớp 10 Một thanh AB nhẹ, đầu B có gắn một quả...

Một thanh AB nhẹ, đầu B có gắn một quả cầu nhỏ khối lượng m, đầu A được giữ bằng một bản lề cố định và có thể quay trong mặt phẳng hình vẽ. Ban đầu thanh nằm t

Câu hỏi :

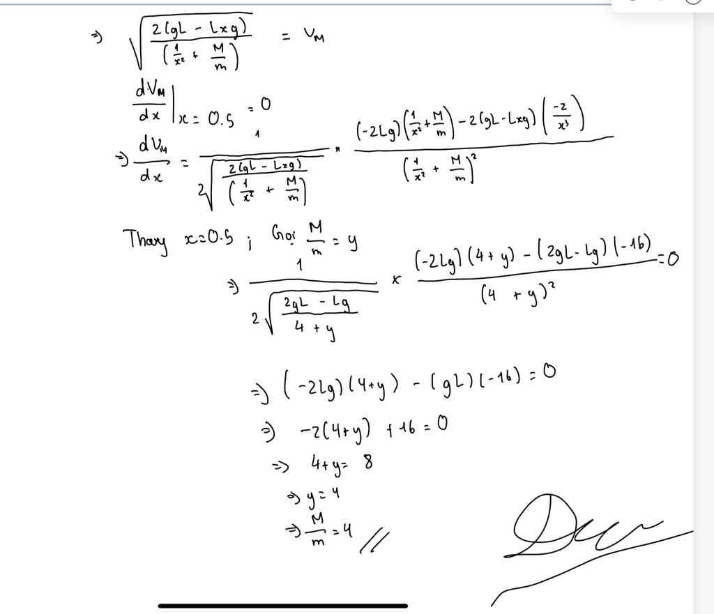
Một thanh AB nhẹ, đầu B có gắn một quả cầu nhỏ khối lượng m, đầu A được giữ bằng một bản lề cố định và có thể quay trong mặt phẳng hình vẽ. Ban đầu thanh nằm theo phương thẳng đứng và m dựa vào vật M. Đẩy nhẹ cho hệ dịch chuyển không vận tốc đầu sang phải. Hãy tính tỉ số M/m để m tách khỏi M khi thanh làm với phương ngang một góc alpha? Bỏ qua ma sát

áp dụng số với alpha = pi/6 rad

image

Một thanh AB nhẹ, đầu B có gắn một quả cầu nhỏ khối lượng m, đầu A được giữ bằng một bản lề cố định và có thể quay trong mặt phẳng hình vẽ. Ban đầu thanh nằm t

Lời giải 1 :

Tặng bồ, quý lắm mới làm đấy :v

image
image

Bạn có biết?

Vật lý học là môn khoa học tự nhiên tập trung vào sự nghiên cứu vật chất và chuyển động của nó trong không gian và thời gian, cùng với những khái niệm liên quan như năng lượng và lực. Vật lý học là một trong những bộ môn khoa học lâu đời nhất, với mục đích tìm hiểu sự vận động của vũ trụ. Hãy khám phá và hiểu rõ những quy luật tự nhiên xung quanh chúng ta!

Nguồn :

Wikipedia - Bách khoa toàn thư

Tâm sự lớp 10

Lớp 10 - Năm đầu tiên ở cấp trung học phổ thông, chúng ta sẽ có nhiều bạn bè mới đến từ những nơi khác nhau. Ngôi trường mới, xa nhà hơn, mở ra một thế giới mới với nhiều điều thú vị. Hãy mở lòng đón nhận và tận hưởng những trải nghiệm mới!

Nguồn :

sưu tập

Liên hệ hợp tác hoặc quảng cáo: gmail

Điều khoản dịch vụ

Copyright © 2021 HOCTAPSGK