Trang chủ Vật Lý Lớp 10 Til cons thile. = 7 L ching minh: σ=w.r -...

Til cons thile. = 7 L ching minh: σ=w.r - câu hỏi 6956258

Câu hỏi :

Cứu đi mn ơi cần gấp lăm huhu

image

Til cons thile. = 7 L ching minh: σ=w.r - câu hỏi 6956258

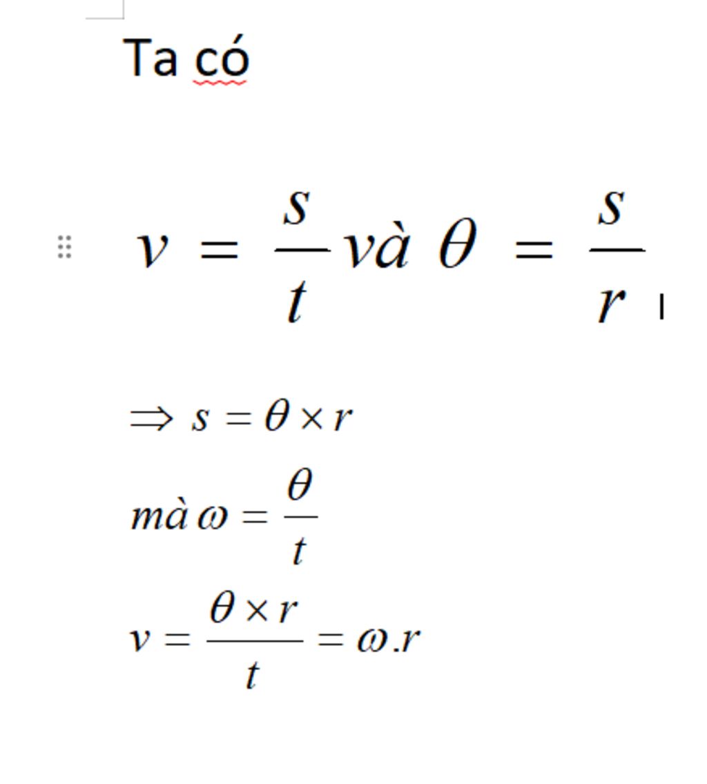
Lời giải 1 :

Đáp án:

 

Giải thích các bước giải:

 

image

Lời giải 2 :

Đáp án:

 \(v = \omega r\)

Giải thích các bước giải:

Ta có: 

\(\begin{array}{l}
\phi  = \dfrac{s}{r} \Rightarrow \omega .t = \dfrac{s}{r} \Rightarrow t = \dfrac{s}{{\omega r}}\\
v = \dfrac{s}{t} = \dfrac{s}{{\dfrac{s}{{\omega r}}}} = \omega r
\end{array}\)

Bạn có biết?

Vật lý học là môn khoa học tự nhiên tập trung vào sự nghiên cứu vật chất và chuyển động của nó trong không gian và thời gian, cùng với những khái niệm liên quan như năng lượng và lực. Vật lý học là một trong những bộ môn khoa học lâu đời nhất, với mục đích tìm hiểu sự vận động của vũ trụ. Hãy khám phá và hiểu rõ những quy luật tự nhiên xung quanh chúng ta!

Nguồn :

Wikipedia - Bách khoa toàn thư

Tâm sự lớp 10

Lớp 10 - Năm đầu tiên ở cấp trung học phổ thông, chúng ta sẽ có nhiều bạn bè mới đến từ những nơi khác nhau. Ngôi trường mới, xa nhà hơn, mở ra một thế giới mới với nhiều điều thú vị. Hãy mở lòng đón nhận và tận hưởng những trải nghiệm mới!

Nguồn :

sưu tập

Liên hệ hợp tác hoặc quảng cáo: gmail

Điều khoản dịch vụ

Copyright © 2021 HOCTAPSGK