Trang chủ Toán Học Lớp 10 c. C = cos² 12° + cos² 78° + cos²...

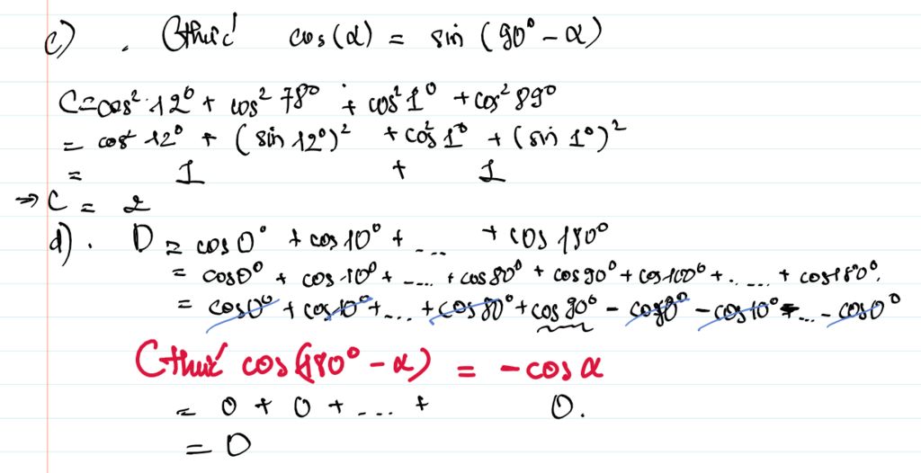
c. C = cos² 12° + cos² 78° + cos² 1° + cos² 89°. d. D= cos 0° + cos10° + cos 20° + ... + cos 180°.

Câu hỏi :

Ai giúp e với huhu️️

image

c. C = cos² 12° + cos² 78° + cos² 1° + cos² 89°. d. D= cos 0° + cos10° + cos 20° + ... + cos 180°.

Lời giải 1 :

Đáp án`+`Giải thích các bước giải:

 `c, C = cos^2 12^o + cos^2 78^o + cos^2 1^o + cos^2 89^o`

`=> C = sin^2 78^o +cos^2 78^o +cos^2 1^o +sin^2 1^o`

`=> C = 1 + 1` (do `sin^2 \alpha + cos^2 \alpha = 1`)

`=> C = 2`

Vậy `C = 2`

`d, D =cos 0^o + cos 10^o +cos20^o + .. + cos180^o`

`@` áp dụng: `cos(180^o - \alpha) = -cos\alpha   (0 < \alpha < 180)`

Khi đó: `D= (cos0^o + cos 180^o) + (cos10^o + cos 170^o) + ... (cos 80^o +cos 100^o) +cos 90^o`

`=> D = 0 + 0 + ... + 0 + 0`

`=> D= 0`

Vậy `D= 0`

`***`sharksosad

Lời giải 2 :

Bạn tham khảo

image

Bạn có biết?

Toán học là môn khoa học nghiên cứu về các số, cấu trúc, không gian và các phép biến đổi. Nói một cách khác, người ta cho rằng đó là môn học về "hình và số". Theo quan điểm chính thống, toán học là môn học nghiên cứu về các cấu trúc trừu tượng định nghĩa từ các tiên đề, bằng cách sử dụng luận lý học (lôgic) và ký hiệu toán học. Do khả năng ứng dụng rộng rãi trong nhiều khoa học, toán học được mệnh danh là "ngôn ngữ của vũ trụ". Hãy kiên trì và không ngừng nỗ lực trong việc chinh phục những con số và công thức này!

Nguồn :

Wikipedia - Bách khoa toàn thư

Tâm sự lớp 10

Lớp 10 - Năm đầu tiên ở cấp trung học phổ thông, chúng ta sẽ có nhiều bạn bè mới đến từ những nơi khác nhau. Ngôi trường mới, xa nhà hơn, mở ra một thế giới mới với nhiều điều thú vị. Hãy mở lòng đón nhận và tận hưởng những trải nghiệm mới!

Nguồn :

sưu tập

Liên hệ hợp tác hoặc quảng cáo: gmail

Điều khoản dịch vụ

Copyright © 2021 HOCTAPSGK