Trang chủ Vật Lý Lớp 8 phố A bao nhiêu km? ra. —ên Bài 33: Hai...

phố A bao nhiêu km? ra. —ên Bài 33: Hai người cùng xuất phát từ hai vị trí A và B đi ngược chiều nhau với tốc độ không đổi để đến gặp nhau. Họ cùng đi đến

Câu hỏi :

Chi tiết nheeeee.......

image

phố A bao nhiêu km? ra. —ên Bài 33: Hai người cùng xuất phát từ hai vị trí A và B đi ngược chiều nhau với tốc độ không đổi để đến gặp nhau. Họ cùng đi đến

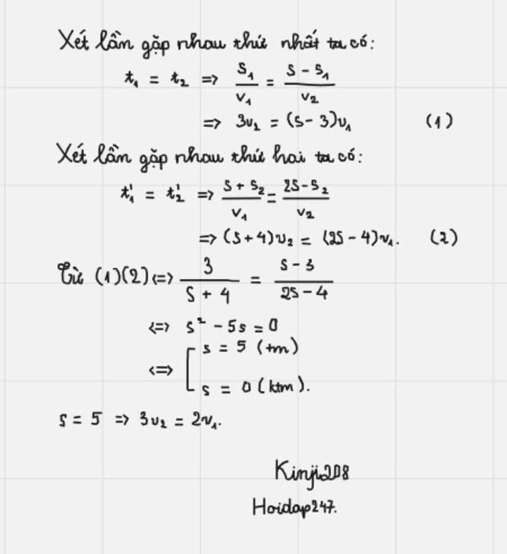
Lời giải 1 :

Giải thích các bước giải:

Như hình.

image

Bạn có biết?

Vật lý học là môn khoa học tự nhiên tập trung vào sự nghiên cứu vật chất và chuyển động của nó trong không gian và thời gian, cùng với những khái niệm liên quan như năng lượng và lực. Vật lý học là một trong những bộ môn khoa học lâu đời nhất, với mục đích tìm hiểu sự vận động của vũ trụ. Hãy khám phá và hiểu rõ những quy luật tự nhiên xung quanh chúng ta!

Nguồn :

Wikipedia - Bách khoa toàn thư

Tâm sự lớp 8

Lớp 8 - Năm thứ ba ở cấp trung học cơ sở, học tập bắt đầu nặng dần và sang năm lại là năm cuối cấp, áp lực lớn dần. Hãy chú ý đến sức khỏe, cân bằng giữa học và nghỉ ngơi để đạt hiệu quả tốt nhất!

Nguồn :

sưu tập

Liên hệ hợp tác hoặc quảng cáo: gmail

Điều khoản dịch vụ

Copyright © 2021 HOCTAPSGK