Trang chủ Hóa Học Lớp 9 Cho 15,6 hỗn hợp X gồm Al và Al2O3 tác...

Cho 15,6 hỗn hợp X gồm Al và Al2O3 tác dụng với dung dịch HCl dư thu được 6720 ml khí (đktc) a) viết các phương trình hóa học của phản ứng b) tí

Câu hỏi :

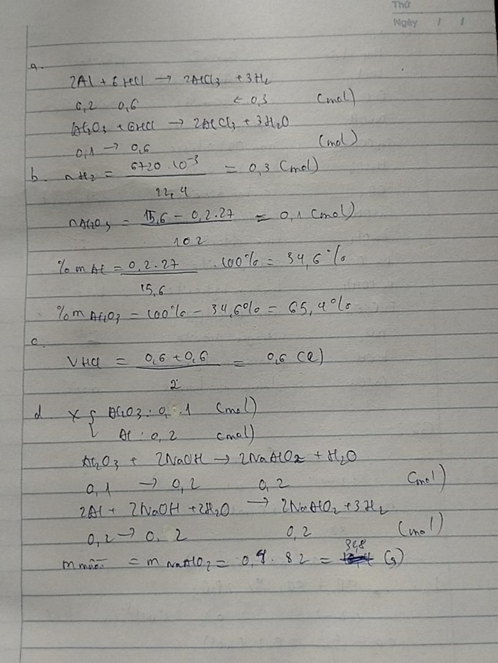
Cho 15,6 hỗn hợp X gồm Al và Al2O3 tác dụng với dung dịch HCl dư thu được 6720 ml khí (đktc)

a) viết các phương trình hóa học của phản ứng

b) tính thành phần phần trăm khối lượng mỗi chất trong hỗn hợp X

c) tính thể tích dung dịch HCl 2M dùng cần dùng là bao nhiêu ml

d) cho hỗn hợp X ở trên tác dụng với dung dịch NaOH dư. Tính khối lượng muối thu được.

Lời giải 1 :

Đáp án ` + ` Giải thích các bước giải:

 ` a) ` Phương trình :

` 2Al + 6HCl -> 2AlCl_3 + 3H_2 `

` Al_2O_3 + 6HCl -> 2AlCl_3 + 3H_2O `

` b) `

` n_(H_2) = ( 6,72 ) / ( 22,4 ) = 0,3 ( mol ) `

` => m_(Al) = ( 0,3 . 2 ) / 3 . 27 = 5,4 ( g ) `

` => m_(Al_2O_3) = 15,6 - 5,4 = 10,2 ( g ) `

` => n_(Al_2O_3) = ( 10,2 ) / ( 102 ) = 0,1 ( mol ) `

` %m_(Al) = ( 5,4 ) / ( 15,6 ) . 100 ≈ 34,6 ( % ) `

` => %m_(Al_2O_3) = 100 - 34,6 = 65,4 ( % ) ` 

` c) `

` n_(HCl) = ( 0,3 . 6 ) / 3 + ( 0,1 . 6 ) / 1 = 1,2 ( mol ) `

` Vdd_(HCl) = 1,2 : 2 =0,6 ( l ) = 600 ml ` 

` d) ` Phương trình :

` 2Al + 2NaOH + 2H_2O -> 2NaAlO_2 + 3H_2 `

` Al_2O_3 + 2NaOH -> 2NaAlO_2 + H_2O `  

` n_(Al) = 0,2 ; n_(Al_2O_3) = ( 10,2 ) / ( 102 ) = 0,1 ( mol ) `

` m_(NaAlO_2) = [( 0,2 . 2 ) / 2 + ( 0,1 . 2 ) / 1 ] . 82 = 32,8 ( g ) ` 

Lời giải 2 :

Đáp án + Giải thích các bước giải:

 

image

Bạn có biết?

Hóa học là ngành nghiên cứu về thành phần, cấu trúc, tính chất, và sự thay đổi của vật chất. Hóa học nói về các nguyên tố, hợp chất, nguyên tử, phân tử, và các phản ứng hóa học xảy ra giữa những thành phần đó. Hóa học đôi khi được gọi là "khoa học trung tâm" vì nó là cầu nối các ngành khoa học tự nhiên khác như vật lý học, địa chất học và sinh học. Hãy đam mê và khám phá thế giới của các chất hóa học và phản ứng!

Nguồn :

Wikipedia - Bách khoa toàn thư

Tâm sự lớp 9

Lớp 9 - Là năm cuối ở cấp trung học cơ sở, chúng ta sắp phải bước vào một kỳ thi căng thẳng và sắp chia tay bạn bè, thầy cô. Áp lực từ kỳ vọng của phụ huynh và tương lai lên cấp 3 thật là lớn, nhưng hãy tin vào bản thân và giữ vững sự tự tin!

Nguồn :

sưu tập

Liên hệ hợp tác hoặc quảng cáo: gmail

Điều khoản dịch vụ

Copyright © 2021 HOCTAPSGK