Trang chủ Hóa Học Lớp 9 Câu 4. Tính thể tích khí clo (đktc) cần để...

Câu 4. Tính thể tích khí clo (đktc) cần để đốt cháy hết hỗn hợp chứa 1,38 gam Na; 1,35 gam nhôm và 3,36 gam sắt. Câu 5. Tính thể tích khí oxi (đktc) cần để

Câu hỏi :

Giúp mik với, mai mik thì rồi

image

Câu 4. Tính thể tích khí clo (đktc) cần để đốt cháy hết hỗn hợp chứa 1,38 gam Na; 1,35 gam nhôm và 3,36 gam sắt. Câu 5. Tính thể tích khí oxi (đktc) cần để

Lời giải 1 :

Đáp án+ Giải thích các bước giải:

 Bạn tham khảo nhé !!

image
image

Lời giải 2 :

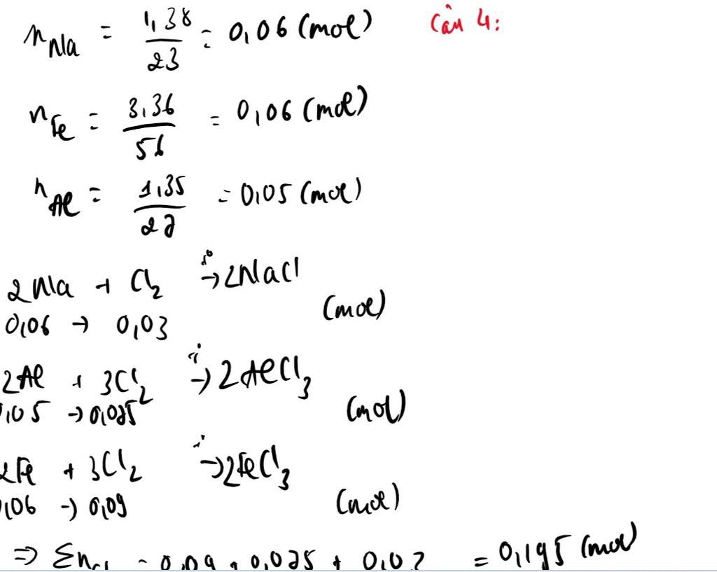
Câu `4:`

`n_{Na}=(1,38)/23=0,06(mol)`

`n_{Fe}=(3,36)/56=0,06(mol)`

`n_{Al}=(1,35)/27=0,05(mol)`

`2Na+Cl_2overset(t^o)(->)2NaCl`

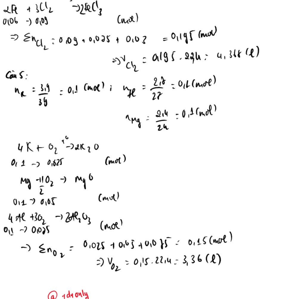
`2Fe+3Cl_2overset(t^o)(->)2FeCl_3`

`2Al+3Cl_2overset(t^o)(->)2AlCl_3`

`Sigma` `n_{Cl_2}=1/(2).n_{Na}+3/(2).n_{Fe}+3/(2).n_{Al}`

`=1/2.0,06+3/(2).0,06+3/(2).0,05`

`=0,195(mol)`

`->V_{Cl_2}=0,195.22,4=4,368(l)`

Câu `5:`

`n_{K}=(3,9)/39=0,1(mol)`

`n_{Al}=(2,7)/27=0,1(mol)`

`n_{Mg}=(2,4)/24=0,1(mol)`

`4K+O_2overset(t^o)(->)2K_2O`

`4Al+3O_2overset(t^o)(->)2Al_2O_3`

`2Mg+O_2overset(t^o)(->)2MgO`

`Sigma` `n_{O_2}=1/(4).n_{K}+3/(4).n_{Al}+1/(2).n_{Mg}`

`=1/4.0,1+3/4.0,1+1/2.0,1=0,15(mol)`

`->V_{O_2}=0,15.22,4=3,36(l)`

 

Bạn có biết?

Hóa học là ngành nghiên cứu về thành phần, cấu trúc, tính chất, và sự thay đổi của vật chất. Hóa học nói về các nguyên tố, hợp chất, nguyên tử, phân tử, và các phản ứng hóa học xảy ra giữa những thành phần đó. Hóa học đôi khi được gọi là "khoa học trung tâm" vì nó là cầu nối các ngành khoa học tự nhiên khác như vật lý học, địa chất học và sinh học. Hãy đam mê và khám phá thế giới của các chất hóa học và phản ứng!

Nguồn :

Wikipedia - Bách khoa toàn thư

Tâm sự lớp 9

Lớp 9 - Là năm cuối ở cấp trung học cơ sở, chúng ta sắp phải bước vào một kỳ thi căng thẳng và sắp chia tay bạn bè, thầy cô. Áp lực từ kỳ vọng của phụ huynh và tương lai lên cấp 3 thật là lớn, nhưng hãy tin vào bản thân và giữ vững sự tự tin!

Nguồn :

sưu tập

Liên hệ hợp tác hoặc quảng cáo: gmail

Điều khoản dịch vụ

Copyright © 2021 HOCTAPSGK