Trang chủ Tin Học Lớp 8 viết chương trình tính toán các bài toán trên ,...

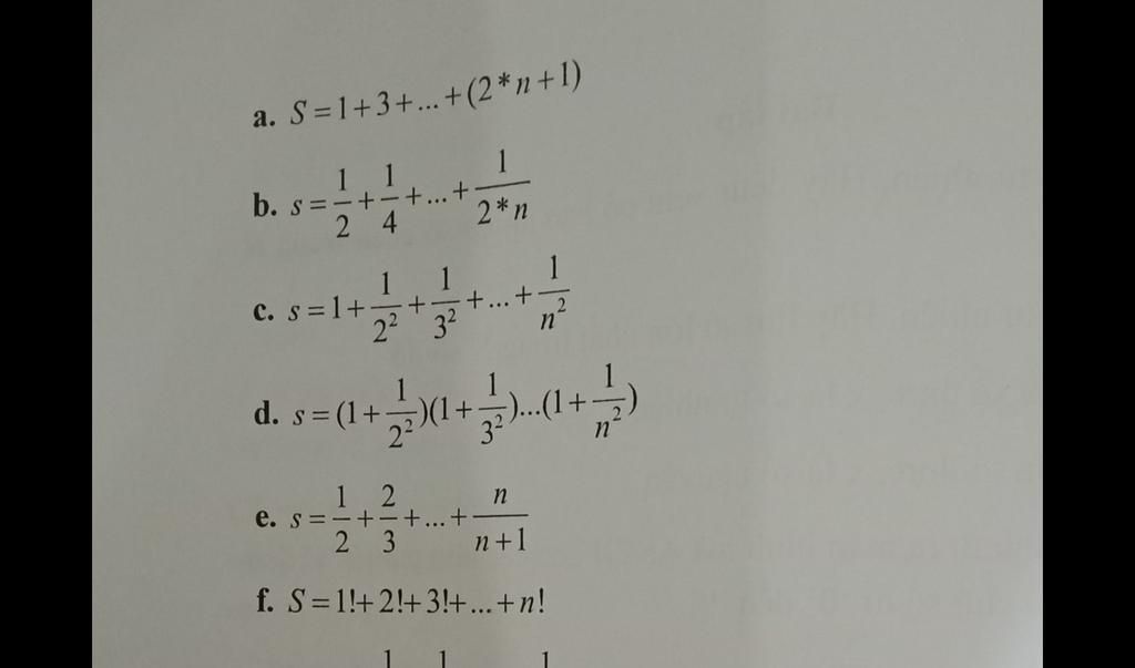
viết chương trình tính toán các bài toán trên , với n là số tự nhiên nhập từ bàn phíma. S=1+3+...+(2*n+ 1) 11 b. s=-+-+... 24 + 2* n 1 1 c. s=1+=+=+...+ 2² 3

Câu hỏi :

viết chương trình tính toán các bài toán trên , với n là số tự nhiên nhập từ bàn phím

image

viết chương trình tính toán các bài toán trên , với n là số tự nhiên nhập từ bàn phíma. S=1+3+...+(2*n+ 1) 11 b. s=-+-+... 24 + 2* n 1 1 c. s=1+=+=+...+ 2² 3

Lời giải 1 :

n=int(input())
#a
print(sum(i for i in range(1,2*n+1,2)))
#b
print(sum(1/i for i in range(1,2*n,2)))
#c
print(sum(1/(i*i) for i in range(1,n+1)))
#c
kq=0
for i in range(2,n+1):
          kq*=1/(1/(i*i))
print(kq)
#d
print(sum(i/(i+1) for i in range(1,n+1)))
#f
def giaiThua(n):
        if n == 0:
                  return 1
         return n * giaiThua(n - 1)
print(sum(giaiThua(i) for i in range(1,n+1)))

Lời giải 2 :

bài làm như trong hình nha.

chúc bạn học tốt. 

image
image

Bạn có biết?

Tin học là một ngành khoa học chuyên nghiên cứu quá trình tự động hóa việc tổ chức, lưu trữ, xử lý và truyền dẫn thông tin của một hệ thống máy tính cụ thể hoặc trừu tượng. Tin học bao hàm tất cả các nghiên cứu và kỹ thuật có liên quan đến việc mô phỏng, biến đổi và tái tạo thông tin. Hãy tận dụng sức mạnh của tin học để giải quyết các vấn đề và sáng tạo ra những giải pháp mới!

Nguồn :

Wikipedia - Bách khoa toàn thư

Tâm sự lớp 8

Lớp 8 - Năm thứ ba ở cấp trung học cơ sở, học tập bắt đầu nặng dần và sang năm lại là năm cuối cấp, áp lực lớn dần. Hãy chú ý đến sức khỏe, cân bằng giữa học và nghỉ ngơi để đạt hiệu quả tốt nhất!

Nguồn :

sưu tập

Liên hệ hợp tác hoặc quảng cáo: gmail

Điều khoản dịch vụ

Copyright © 2021 HOCTAPSGK