Trang chủ Hóa Học Lớp 10 Giúp mình câu 7 này với và giải thích chi...

Giúp mình câu 7 này với và giải thích chi tiết giùm mình luôn nha C.-149 kJ/mol. D.+ 149 kJ/mol. Câu 7: Phương trình nhiệt hóa học:3H/g)+N/g} —» 2NH/gJ

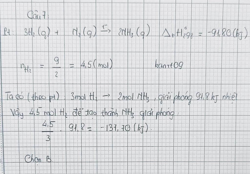
Câu hỏi :

Giúp mình câu 7 này với và giải thích chi tiết giùm mình luôn nha

image

Giúp mình câu 7 này với và giải thích chi tiết giùm mình luôn nha C.-149 kJ/mol. D.+ 149 kJ/mol. Câu 7: Phương trình nhiệt hóa học:3H/g)+N/g} —» 2NH/gJ

Lời giải 1 :

Đáp án:

 

Giải thích các bước giải:

 

image

Lời giải 2 :

Đáp án: $B$

 

Giải thích các bước giải:

$n_{H_2}=\dfrac{9}{2}=4,5$ mol 

$3$ mol $H_2$ tham gia phản ứng toả ra lượng nhiệt $91,80 kJ$ 

$\Rightarrow 4,5$ mol $H_2$ phản ứng toả ra lượng nhiệt $\dfrac{91,8.4,5}{3}=137,7 kJ$ 

Vậy khi có $4,5$ mol $H_2$ phản ứng thì biến thiên enthalpy là $-137,7 kJ$

Bạn có biết?

Hóa học là ngành nghiên cứu về thành phần, cấu trúc, tính chất, và sự thay đổi của vật chất. Hóa học nói về các nguyên tố, hợp chất, nguyên tử, phân tử, và các phản ứng hóa học xảy ra giữa những thành phần đó. Hóa học đôi khi được gọi là "khoa học trung tâm" vì nó là cầu nối các ngành khoa học tự nhiên khác như vật lý học, địa chất học và sinh học. Hãy đam mê và khám phá thế giới của các chất hóa học và phản ứng!

Nguồn :

Wikipedia - Bách khoa toàn thư

Tâm sự lớp 10

Lớp 10 - Năm đầu tiên ở cấp trung học phổ thông, chúng ta sẽ có nhiều bạn bè mới đến từ những nơi khác nhau. Ngôi trường mới, xa nhà hơn, mở ra một thế giới mới với nhiều điều thú vị. Hãy mở lòng đón nhận và tận hưởng những trải nghiệm mới!

Nguồn :

sưu tập

Liên hệ hợp tác hoặc quảng cáo: gmail

Điều khoản dịch vụ

Copyright © 2021 HOCTAPSGK