Trang chủ Toán Học Lớp 12 Cầu 7. ) Cho hàm số y = f(z) thỏa...

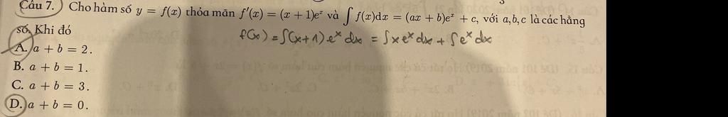
Cầu 7. ) Cho hàm số y = f(z) thỏa mān f'(z) =(2+1)e* và | f(z)dz = (ac +be* + c, với a,b,c là các hằng số. Khi đó f(x) = S(x+1) e* dx = Sxe* dx + Sexdx Aa

Câu hỏi :

hong biết làm huhuhu

image

Cầu 7. ) Cho hàm số y = f(z) thỏa mān f'(z) =(2+1)e* và | f(z)dz = (ac +be* + c, với a,b,c là các hằng số. Khi đó f(x) = S(x+1) e* dx = Sxe* dx + Sexdx Aa

Lời giải 1 :

Đáp án:

 

Giải thích các bước giải:

 Mình gửi nhe

Vote cho mình với nhe @kieudim 

Xincautraloihaynhat ạ

image

Bạn có biết?

Toán học là môn khoa học nghiên cứu về các số, cấu trúc, không gian và các phép biến đổi. Nói một cách khác, người ta cho rằng đó là môn học về "hình và số". Theo quan điểm chính thống, toán học là môn học nghiên cứu về các cấu trúc trừu tượng định nghĩa từ các tiên đề, bằng cách sử dụng luận lý học (lôgic) và ký hiệu toán học. Do khả năng ứng dụng rộng rãi trong nhiều khoa học, toán học được mệnh danh là "ngôn ngữ của vũ trụ". Hãy kiên trì và không ngừng nỗ lực trong việc chinh phục những con số và công thức này!

Nguồn :

Wikipedia - Bách khoa toàn thư

Tâm sự lớp 12

Lớp 12 - Năm cuối ở cấp trung học phổ thông, năm học quan trọng nhất trong đời học sinh, trải qua bao năm học tập, bao nhiêu kỳ vọng của người thân xung quanh. Những nỗi lo về thi đại học và định hướng tương lai thật là nặng nề. Hãy tin vào bản thân, mình sẽ làm được và tương lai mới đang chờ đợi chúng ta!

Nguồn :

sưu tập

Liên hệ hợp tác hoặc quảng cáo: gmail

Điều khoản dịch vụ

Copyright © 2021 HOCTAPSGK