Trang chủ Tin Học Lớp 10 câu1:Viết chương trình nhập n phần tử từ bàn phím...

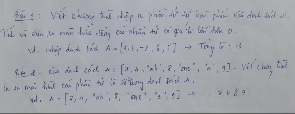
câu1:Viết chương trình nhập n phần tử từ bàn phím vào danh sách A. Tính và đưa ra màn hình tổng các phần tử có giá trị lớn hơn 0  A=[1,3,-2,6,5] câu2: cho danh

Câu hỏi :

câu1:Viết chương trình nhập n phần tử từ bàn phím vào danh sách A. Tính và đưa ra màn hình tổng các phần tử có giá trị lớn hơn 0 

A=[1,3,-2,6,5]

câu2: cho danh sách A=[7,4,"ab",8,"one","c",9] viết chương trình in ra màng hình các phần tử là số trong danh sách A.

image

câu1:Viết chương trình nhập n phần tử từ bàn phím vào danh sách A. Tính và đưa ra màn hình tổng các phần tử có giá trị lớn hơn 0  A=[1,3,-2,6,5] câu2: cho danh

Lời giải 1 :

# Câu 1:

n = int(input("Nhập số lượng phần tử của danh sách: "))

A = [int(input(f"Nhập phần tử thứ {i + 1}: ")) for i in range(n)]

print("Danh sách A đã nhập: A =", A) 

tong_so_duong = sum(so for so in A if so > 0)

print("Tổng các phần tử có giá trị lớn hơn 0 là:", tong_so_duong)

# Câu 2:

A = [7, 4, "ab", 8, "one", "c", 9]

phan_tu_so_trong_A = [so for so in A if isinstance(so, (int, float))]

print("Các phần tử là số trong danh sách A là:", phan_tu_so_trong_A)

image
image

Lời giải 2 :

`1.`

a=list(map(int,input().split()))
print(sum(i for i in a if i>0))

`2.`

a=[7,4,"ab",8,"one","c",9]
print(*[i for i in a if str(i).isdigit()])

Bạn có biết?

Tin học là một ngành khoa học chuyên nghiên cứu quá trình tự động hóa việc tổ chức, lưu trữ, xử lý và truyền dẫn thông tin của một hệ thống máy tính cụ thể hoặc trừu tượng. Tin học bao hàm tất cả các nghiên cứu và kỹ thuật có liên quan đến việc mô phỏng, biến đổi và tái tạo thông tin. Hãy tận dụng sức mạnh của tin học để giải quyết các vấn đề và sáng tạo ra những giải pháp mới!

Nguồn :

Wikipedia - Bách khoa toàn thư

Tâm sự lớp 10

Lớp 10 - Năm đầu tiên ở cấp trung học phổ thông, chúng ta sẽ có nhiều bạn bè mới đến từ những nơi khác nhau. Ngôi trường mới, xa nhà hơn, mở ra một thế giới mới với nhiều điều thú vị. Hãy mở lòng đón nhận và tận hưởng những trải nghiệm mới!

Nguồn :

sưu tập

Liên hệ hợp tác hoặc quảng cáo: gmail

Điều khoản dịch vụ

Copyright © 2021 HOCTAPSGK