Trang chủ Hóa Học Lớp 10 Ai giải thích giúp em sao từ dòng trên biến...

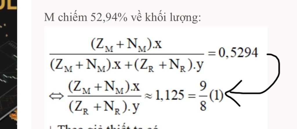
Ai giải thích giúp em sao từ dòng trên biến đổi được về dòng dưới ntn vậy ạM chiếm 52,94% về khối lượng: (ZM + NM).X (ZM + NM).X+(ZR +NR).Y = 0.5294 (ZM+NM).X

Câu hỏi :

Ai giải thích giúp em sao từ dòng trên biến đổi được về dòng dưới ntn vậy ạ

image

Ai giải thích giúp em sao từ dòng trên biến đổi được về dòng dưới ntn vậy ạM chiếm 52,94% về khối lượng: (ZM + NM).X (ZM + NM).X+(ZR +NR).Y = 0.5294 (ZM+NM).X

Lời giải 1 :

Đáp án:

 

Giải thích các bước giải:

 

image

Lời giải 2 :

$\dfrac{(Z_M+N_M)x}{(Z_M+N_M)x+(Z_R+N_R)y}=0,5294\\ \Leftrightarrow\ (Z_M+N_M)x=0,5294\bigg[(Z_M+N_M)x+(Z_R+N_R)y\bigg]\\\Leftrightarrow\ (Z_M+N_M)x-0,5294(Z_M+N_M)x=0,5294(Z_R+N_R)y\\ \Leftrightarrow\ 0,4706(Z_M+N_M)x=0,5294(Z_R+N_R)y\\ \Leftrightarrow\ \dfrac{(Z_M+N_M)x}{(Z_R+N_R)y}=\dfrac{0,5294}{0,4706}\approx1,125=\dfrac{9}{8}$

Bạn có biết?

Hóa học là ngành nghiên cứu về thành phần, cấu trúc, tính chất, và sự thay đổi của vật chất. Hóa học nói về các nguyên tố, hợp chất, nguyên tử, phân tử, và các phản ứng hóa học xảy ra giữa những thành phần đó. Hóa học đôi khi được gọi là "khoa học trung tâm" vì nó là cầu nối các ngành khoa học tự nhiên khác như vật lý học, địa chất học và sinh học. Hãy đam mê và khám phá thế giới của các chất hóa học và phản ứng!

Nguồn :

Wikipedia - Bách khoa toàn thư

Tâm sự lớp 10

Lớp 10 - Năm đầu tiên ở cấp trung học phổ thông, chúng ta sẽ có nhiều bạn bè mới đến từ những nơi khác nhau. Ngôi trường mới, xa nhà hơn, mở ra một thế giới mới với nhiều điều thú vị. Hãy mở lòng đón nhận và tận hưởng những trải nghiệm mới!

Nguồn :

sưu tập

Liên hệ hợp tác hoặc quảng cáo: gmail

Điều khoản dịch vụ

Copyright © 2021 HOCTAPSGK