Trang chủ Hóa Học Lớp 8 CV NOOH 0.12 0,12( Dạng 5 Bài tập tổng hợp...

CV NOOH 0.12 0,12( Dạng 5 Bài tập tổng hợp Bị cho hoàn toàn thu đc dễ X và V lít khí H2 ở như bột Ma vào 500 ml do HCl 1M. Sau 25°C vai 1 bar a) Tính trị V

Câu hỏi :

giúp e 2 bài này vs gấp ạ

image

CV NOOH 0.12 0,12( Dạng 5 Bài tập tổng hợp Bị cho hoàn toàn thu đc dễ X và V lít khí H2 ở như bột Ma vào 500 ml do HCl 1M. Sau 25°C vai 1 bar a) Tính trị V

Lời giải 1 :

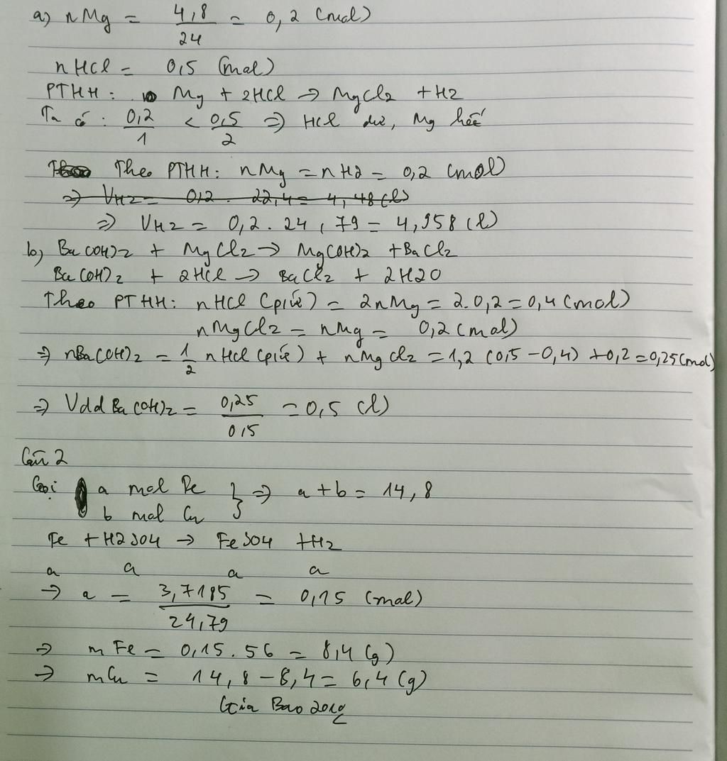
Bài 1:

$a)\\ Mg+2HCl\to MgCl_2+H_2\\ n_{Mg}=\dfrac{4,8}{24}=0,2(mol)\\ n_{HCl}=\dfrac{500}{1000}.1=0,5(mol)\\ n_{Mg}<\dfrac{n_{HCl}}{2}\to HCl\ du\ spu\\ n_{H_2}=n_{Mg}=0,2(mol)\\ V_{H_2}=0,2.24,79=4,958(l)\\ b)\\ n_{HCl(pu)}=2n_{Mg}=0,4(mol)\\ n_{MgCl_2}=n_{Mg}=0,2(mol)\\ Ba(OH)_2+2HCl\to BaCl_2+2H_2O\\ Ba(OH)_2+MgCl_2\to Mg(OH)_2+BaCl_2\\ \sum n_{Ba(OH)_2}=\dfrac{1}{2}n_{HCl(du)}+n_{MgCl_2}\\ =\dfrac{1}{2}(0,5-0,4)+0,2=0,25(mol)\\ V_{dd\ Ba(OH)_2}=\dfrac{0,25}{0,5}=0,5(l)$

Bài 2:

$Fe+H_2SO_4\to FeSO_4+H_2\\ n_{H_2}=\dfrac{3,7185}{24,79}=0,15(mol)\\ n_{Fe}=n_{H_2}=0,15(mol)\\ m_{Fe}=0,15.56=8,4(g)\\ m_{Cu}=14,8-8,4=6,4(g)$

Lời giải 2 :

Đáp án:

 

Giải thích các bước giải:

 

image

Bạn có biết?

Hóa học là ngành nghiên cứu về thành phần, cấu trúc, tính chất, và sự thay đổi của vật chất. Hóa học nói về các nguyên tố, hợp chất, nguyên tử, phân tử, và các phản ứng hóa học xảy ra giữa những thành phần đó. Hóa học đôi khi được gọi là "khoa học trung tâm" vì nó là cầu nối các ngành khoa học tự nhiên khác như vật lý học, địa chất học và sinh học. Hãy đam mê và khám phá thế giới của các chất hóa học và phản ứng!

Nguồn :

Wikipedia - Bách khoa toàn thư

Tâm sự lớp 8

Lớp 8 - Năm thứ ba ở cấp trung học cơ sở, học tập bắt đầu nặng dần và sang năm lại là năm cuối cấp, áp lực lớn dần. Hãy chú ý đến sức khỏe, cân bằng giữa học và nghỉ ngơi để đạt hiệu quả tốt nhất!

Nguồn :

sưu tập

Liên hệ hợp tác hoặc quảng cáo: gmail

Điều khoản dịch vụ

Copyright © 2021 HOCTAPSGK