Trang chủ Hóa Học Lớp 8 đc bài nào thì đc còn có 40 đ thôi...

đc bài nào thì đc còn có 40 đ thôi nhưng trên con số 1 nhélượng пор Bài 12: Để trung hòa dd có chứa 109,5g HCl, đầu tiên người ta dùng dd có chưa 112g KOH. sau

Câu hỏi :

đc bài nào thì đc còn có 40 đ thôi nhưng trên con số 1 nhé

image

đc bài nào thì đc còn có 40 đ thôi nhưng trên con số 1 nhélượng пор Bài 12: Để trung hòa dd có chứa 109,5g HCl, đầu tiên người ta dùng dd có chưa 112g KOH. sau

Lời giải 1 :

Đáp án:

 

Giải thích các bước giải:

 trong ảnh

image
image
image

Lời giải 2 :

`12)`

`n_{HCl}={109,5}/{36,5}=3(mol)`

`n_{KOH}={112}/{56}=2(mol)`

`HCl+KOH->KCl+H_2O`

`2HCl+Ba(OH)_2->BaCl_2+2H_2O`

`->n_{Ba(OH)_2}={n_{HCl}-n_{KOH}}/2=0,5(mol)`

`->m_{dd\ Ba(OH)_2}={0,5.171}/{25\%}=342(g)`

`13)`

`a)`

`n_{NaOH}={10}/{40}=0,25(mol);n_{HNO_3}={10}/{63}(mol)`

`NaOH+HNO_3->NaNO_3+H_2O`

`{10}/{63}←{10}/{63}->{10}/{63}(mol)`

`0,25>{10}/{63}->NaOH` dư

`->` Dd spu có tính base

`b)`

`m_{NaOH\ du}=10-{10}/{63}.40=3,65(g)`

`m_{NaNO_3}={10}/{63}.85=13,49(g)`

`14)`

`a)`

`n_{H_2SO_4}=0,02.1=0,02(mol)`

`H_2SO_4+2NaOH->Na_2SO_4+2H_2O`

`0,02->0,04->0,02(mol)`

`m_{dd\ NaOH}={0,04.40}/{20\%}=8(g)`

`b)`

`H_2SO_4+2KOH->K_2SO_4+2H_2O`

`0,02->0,04(mol)`

`m_{dd\ KOH}={0,04.56}/{5,6\%}=40(g)`

`V_{dd\ KOH}={40}/{1,045}=38,28(mL)`

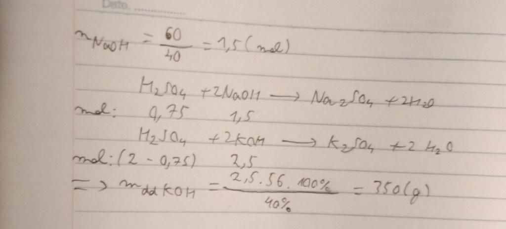
`15)`

`a)`

`H_2SO_4+2NaOH->Na_2SO_4+2H_2O`

`H_2SO_4+2KOH->K_2SO_4+2H_2O`

`b)`

`n_{H_2SO_4}={196}/{98}=2(mol)`

`n_{NaOH}={60}/{40}=1,5(mol)`

`->n_{KOH}=2n_{H_2SO_4}-n_{NaOH}=1(mol)`

`->m_{dd\ KOH}={1.56}/{40\%}=140(g)`

Bạn có biết?

Hóa học là ngành nghiên cứu về thành phần, cấu trúc, tính chất, và sự thay đổi của vật chất. Hóa học nói về các nguyên tố, hợp chất, nguyên tử, phân tử, và các phản ứng hóa học xảy ra giữa những thành phần đó. Hóa học đôi khi được gọi là "khoa học trung tâm" vì nó là cầu nối các ngành khoa học tự nhiên khác như vật lý học, địa chất học và sinh học. Hãy đam mê và khám phá thế giới của các chất hóa học và phản ứng!

Nguồn :

Wikipedia - Bách khoa toàn thư

Tâm sự lớp 8

Lớp 8 - Năm thứ ba ở cấp trung học cơ sở, học tập bắt đầu nặng dần và sang năm lại là năm cuối cấp, áp lực lớn dần. Hãy chú ý đến sức khỏe, cân bằng giữa học và nghỉ ngơi để đạt hiệu quả tốt nhất!

Nguồn :

sưu tập

Liên hệ hợp tác hoặc quảng cáo: gmail

Điều khoản dịch vụ

Copyright © 2021 HOCTAPSGK